М
Молодежь
К
Компьютеры-и-электроника
Д
Дом-и-сад
С
Стиль-и-уход-за-собой
П
Праздники-и-традиции
Т
Транспорт
П
Путешествия
С
Семейная-жизнь
Ф
Философия-и-религия
Б
Без категории
М
Мир-работы
Х
Хобби-и-рукоделие
И
Искусство-и-развлечения
В
Взаимоотношения
З
Здоровье
К
Кулинария-и-гостеприимство
Ф
Финансы-и-бизнес
П
Питомцы-и-животные
О
Образование
О
Образование-и-коммуникации
пике5
пике5
21.09.2020 03:33 •  Математика

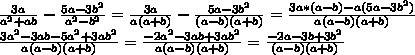
X^2-2x+1/x^3-x^2-x+1 выполните действия : 3a/a^2+ab-5a-3b/a^2-b^2

👇
Ответ:
оникс999
оникс999
21.09.2020
Вроде так незнаю если что проверь
X^2-2x+1/x^3-x^2-x+1 выполните действия : 3a/a^2+ab-5a-3b/a^2-b^2
4,7(91 оценок)
Открыть все ответы
Ответ:
alehalich
alehalich
21.09.2020
Для решения данного задания нужно составить уравнение. Чтобы найти процент от числа нужно это число умножить на процент и разделить на сто. Пусть площадь треугольника — х, тогда площадь квадрата — х + 0,5х = 1,5х. Зная, что площадь треугольника и квадрата равна 15 квадратным сантиметрам, составим уравнение.

х + 1,5х = 15;

2,5х = 15;

х = 15 / 2,5;

х = 6.

Вычислим площадь квадрата.

1,5 * 6 = 9 квадратных сантиметров.

Вычислим чему равна длина стороны квадрата.Площадь квадрата равна квадрату его стороны. S=a^2.

S = 9;

a = √9 = 3 сантиметра.

ответ: 3 сантиметра.
4,8(83 оценок)
Ответ:
сич23
сич23
21.09.2020

Пошаговое объяснение:

1.

Дано: ОК = 6 см; <KOL=60°

Найти: KL

Треугольник OKL - прямоугольный (радиус с касательной образуют прямой угол)

<OKL = 90°

KL = 6*tg60° = 6*√3 = 10,39 см

2.

Дано: ОМ = 18 см; ON = 9 см

Найти: <NMK

sin < NMO = 9:18 = 0,5

< NMO = 30°

< NMK = 2*< NMO = 2*30° = 60°

3.

Дано: ОА = АВ

Найти: <ВАС

Треугольник ОАВ - равносторонний и все его угла = 60°

<ОАС = 90°

<ВАС = 90°-60° = 30°

4.

Дано: ОА = АВ

Найти:  < АМВ

См. задачу 3

<ВАМ = <АВМ = 30°

<АМВ= 180°-2*30° = 120°

4,6(18 оценок)
Это интересно:
Новые ответы от MOGZ: Математика
logo
Вход Регистрация
Что ты хочешь узнать?
Спроси Mozg
Открыть лучший ответ