М
Молодежь
К
Компьютеры-и-электроника
Д
Дом-и-сад
С
Стиль-и-уход-за-собой
П
Праздники-и-традиции
Т
Транспорт
П
Путешествия
С
Семейная-жизнь
Ф
Философия-и-религия
Б
Без категории
М
Мир-работы
Х
Хобби-и-рукоделие
И
Искусство-и-развлечения
В
Взаимоотношения
З
Здоровье
К
Кулинария-и-гостеприимство
Ф
Финансы-и-бизнес
П
Питомцы-и-животные
О
Образование
О
Образование-и-коммуникации
MartKsenka
MartKsenka
29.05.2023 22:15 •  Математика

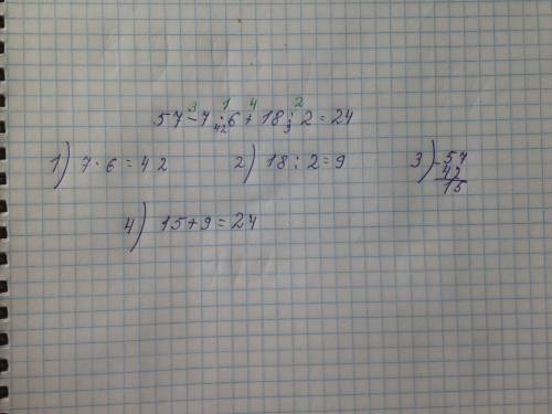
Расставить порядок действй и вычислить 57-7*6+18: 2=

👇
Ответ:
Nqva
Nqva
29.05.2023
Расставить порядок действй и вычислить 57-7*6+18: 2=
4,7(29 оценок)
Ответ:
1д. 7•6
2д 18:2
3д 57-42 (57- 7•6)
4д 15+9 ( +)
57-7•6+18:2=24
4,4(11 оценок)
Открыть все ответы
Ответ:
Арнэлла1
Арнэлла1
29.05.2023
Самое прямое во всех сферах искусства. в архитектуре парфенон - храм зевса, строился, чтобы прославить зевса, но оказался эталоном гармоничной постройки и в наши дни. фасад его используют и в современном строительстве. в скульптуре тоже знаменитая венера из лувра копируется везде и воспринимается как образец совершенства. в живописи тоже, в основном начиная с эпохи возрождения. рождение венеры ботичели.. венера с этого полотна цитируется во многих произведениях искусства и не только искусства, олицетворяя собой идеал женской грации и красоты
4,8(96 оценок)
Ответ:
VASILIEVAALEXANDRA
VASILIEVAALEXANDRA
29.05.2023
          робота над проектом «як готуються бджоли до  зими? »         що мені цікаво дізнатися: про особливості життя бджіл, їхню щоденну працю та про те, як вони готуються до зими та зимують. мені можуть розповісти про це (хто) вчитель з природознавства, пасічник, батьки.       щоб більше дізнатися, я можу відвідати пасіку, поспостерігати за цими комахами восени, роблячи про них записи, прочитати про бджілок у додатковій літературі.       тепер я знаю, що бджілка є невтомною робітницею, яка дарує людям мед. коли вони готуються до зими, то не у сплячку. коли стає занадто холодно, вони просто стають менш рухливими та гріються одна об одну.                                         хід проекту       що я буду робити:   спостерігати за життям бджіл, аналізувати його, робити висновки і демонструвати результати своїх напрацювань однокласникам.         послідовність моїх дій(план): 1.відвідання пасіки. 2.фотографування бджіл та спостереження за ними. 3.робота з підручником. 4.створення презентації. 5.демонстрація роботи однокласникам.         разом зі мною цей проект будуть робити: ще троє моїх однокласників (перерахувати).         потрібні такі матеріали та інструменти: фотоапарат, підручник, комп’ютер для створення презентації.
4,4(27 оценок)
Новые ответы от MOGZ: Математика
logo
Вход Регистрация
Что ты хочешь узнать?
Спроси Mozg
Открыть лучший ответ