М
Молодежь
К
Компьютеры-и-электроника
Д
Дом-и-сад
С
Стиль-и-уход-за-собой
П
Праздники-и-традиции
Т
Транспорт
П
Путешествия
С
Семейная-жизнь
Ф
Философия-и-религия
Б
Без категории
М
Мир-работы
Х
Хобби-и-рукоделие
И
Искусство-и-развлечения
В
Взаимоотношения
З
Здоровье
К
Кулинария-и-гостеприимство
Ф
Финансы-и-бизнес
П
Питомцы-и-животные
О
Образование
О
Образование-и-коммуникации
GDIZzzEr
GDIZzzEr
14.05.2020 18:39 •  Математика

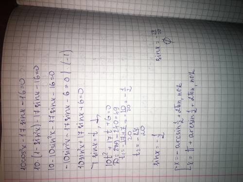
решить! 1) 4cos²x + cosx - 5 = 0 2) 10cos²x - 17sinx - 16 = 0 3) 3tgx - 6ctgx + 7 = 0 4) 2cos²x - 11sin2x = 12

👇
Ответ:
lol1025
lol1025
14.05.2020
Вот первое,сейчас остальное сделаю
решить! 1) 4cos²x + cosx - 5 = 0 2) 10cos²x - 17sinx - 16 = 0 3) 3tgx - 6ctgx + 7 = 0 4) 2cos²x - 11
решить! 1) 4cos²x + cosx - 5 = 0 2) 10cos²x - 17sinx - 16 = 0 3) 3tgx - 6ctgx + 7 = 0 4) 2cos²x - 11
решить! 1) 4cos²x + cosx - 5 = 0 2) 10cos²x - 17sinx - 16 = 0 3) 3tgx - 6ctgx + 7 = 0 4) 2cos²x - 11
4,6(49 оценок)
Открыть все ответы
Ответ:
FireLive
FireLive
14.05.2020
Составим  табличку:
                      
                                     V скорость                   t время                    S расстояние 

1 автомобиль                   х                                 1/х                                  1

2 автомобиль                 х-14                           0,5/(х-14)                          1 
               
                                        105                             0,5/105                                             

Половина пути для второго автомобиля - это 0,5. 
Время второго автомобиля, за которое он весь путь:


Время первого автомобиля равно времени второго автомобиля:


Перенесём всё влево:

т.к. по условию задачи скорость первого автомобиля больше 50 км/ч, то:
ответ будет 84 км/ч
4,6(27 оценок)
Ответ:
olgaaaaaa13
olgaaaaaa13
14.05.2020
Ребенок должен учиться мыслить логически. Сначала нужно объяснить ему, что каждый из названных ребят может сидеть на любом из названных мест. Но, как только один из них сядет на одно место, двое других будут претендовать на другие два, причем они могут сесть не только по одному варианту, но и поменяться местами.
Тройка мест заполняется всякий раз по разному и чтобы не пропустить варианты, нужно начинать заполнение с одного наугад выбранного мальчика - он будет основным, а остальные будут подстраиваться под него. Итак, пусть он начинает с 18, затем перемещается на 19 и наконец - на 20.
Заполнение будет таким:

На каком месте в зале кинотеатра может сидеть каждый из троих школьников если на билетах указаны мес
4,5(45 оценок)
Это интересно:
Новые ответы от MOGZ: Математика
logo
Вход Регистрация
Что ты хочешь узнать?
Спроси Mozg
Открыть лучший ответ