М
Молодежь
К
Компьютеры-и-электроника
Д
Дом-и-сад
С
Стиль-и-уход-за-собой
П
Праздники-и-традиции
Т
Транспорт
П
Путешествия
С
Семейная-жизнь
Ф
Философия-и-религия
Б
Без категории
М
Мир-работы
Х
Хобби-и-рукоделие
И
Искусство-и-развлечения
В
Взаимоотношения
З
Здоровье
К
Кулинария-и-гостеприимство
Ф
Финансы-и-бизнес
П
Питомцы-и-животные
О
Образование
О
Образование-и-коммуникации
kostyatyupa
kostyatyupa
23.04.2020 09:26 •  Математика

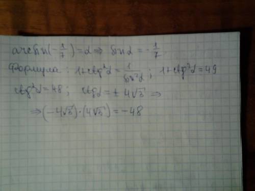
Найти произведение двух чисел между которыми находится ctg(arcsin(-1\7))

👇
Ответ:
dimabeliu2016
dimabeliu2016
23.04.2020
Применены тригонометрические формулы
Найти произведение двух чисел между которыми находится ctg(arcsin(-1\7))
4,4(74 оценок)
Открыть все ответы
Ответ:
WANNNO
WANNNO
23.04.2020
Дробь такого вида равна нулю, когда числитель равен нулю, а знаменатель не равен нулю. Эти условия должны выполняться одновременно, т. е. составляем СИСТЕМУ из двух уравнений:  х2 - 5х + 6 = 0 х2 - 4 не равно 0 Если я правильно понял твой вопрос, то в правой части выражение х2 - 5х + 6 делится на выражение х2 - 4. Так? Если так, то в числителе правой части (т. е. в первом уравнении системы) видим квадратное уравнение. Дискриминант вычисляется по формуле b^2 - 4ac. В данном уравнении b= - 5, a=1, c=6. Дискриминант равен: D = (-5)^2 - 4*1*6 = 25 - 24 = 1 Дискриминант больше ноля, отсюда следует в уравнении два корня. Ну а дальше просто.
4,8(75 оценок)
Ответ:
Ydalxa534
Ydalxa534
23.04.2020
Дробь такого вида равна нулю, когда числитель равен нулю, а знаменатель не равен нулю. Эти условия должны выполняться одновременно, т. е. составляем СИСТЕМУ из двух уравнений:  х2 - 5х + 6 = 0 х2 - 4 не равно 0 Если я правильно понял твой вопрос, то в правой части выражение х2 - 5х + 6 делится на выражение х2 - 4. Так? Если так, то в числителе правой части (т. е. в первом уравнении системы) видим квадратное уравнение. Дискриминант вычисляется по формуле b^2 - 4ac. В данном уравнении b= - 5, a=1, c=6. Дискриминант равен: D = (-5)^2 - 4*1*6 = 25 - 24 = 1 Дискриминант больше ноля, отсюда следует в уравнении два корня. Ну а дальше просто.
4,6(35 оценок)
Это интересно:
Новые ответы от MOGZ: Математика
Полный доступ к MOGZ
Живи умнее Безлимитный доступ к MOGZ Оформи подписку
logo
Вход Регистрация
Что ты хочешь узнать?
Спроси Mozg
Открыть лучший ответ