М
Молодежь
К
Компьютеры-и-электроника
Д
Дом-и-сад
С
Стиль-и-уход-за-собой
П
Праздники-и-традиции
Т
Транспорт
П
Путешествия
С
Семейная-жизнь
Ф
Философия-и-религия
Б
Без категории
М
Мир-работы
Х
Хобби-и-рукоделие
И
Искусство-и-развлечения
В
Взаимоотношения
З
Здоровье
К
Кулинария-и-гостеприимство
Ф
Финансы-и-бизнес
П
Питомцы-и-животные
О
Образование
О
Образование-и-коммуникации
hilola378
hilola378
15.05.2020 03:04 •  Математика

Решить и по возможности объяснить решение! найдите площадь фигуры, ограниченной параболой , касательной к ней, проходящей через точку пресечения параболы с осью , и прямой за ранее большое !

👇
Ответ:
vykvyk005oxq5pm
vykvyk005oxq5pm
15.05.2020
1) точка пересечения параболы и оси Оу
y= x^{2} -2x+2, \ Oy: \ x=0, \\ y=2. \\ (0;2).
2) уравнение касательной
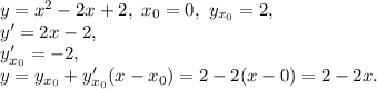
y= x^{2} -2x+2, \ x_0=0, \ y_{x_0}=2, \\ y'=2x-2, \\ y'_{x_0}=-2, \\ y=y_{x_0}+y'_{x_0}(x-x_0)=2-2(x-0)=2-2x.

3) точка пересечения параболы и прямой х=1
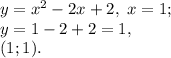
y= x^{2} -2x+2, \ x=1; \\ y=1-2+2=1, \\ (1;1).
4) площадь
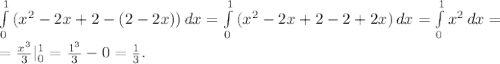
\int\limits_0^1 {(x^{2} -2x+2-(2-2x))} \, dx = \int\limits_0^1 {(x^{2} -2x+2-2+2x)} \, dx = \int\limits_0^1 {x^{2}} \, dx =\\= \frac{x^3}{3}|_0^1 = \frac{1^3}{3}-0=\frac{1}{3}.

Решить и по возможности объяснить решение! найдите площадь фигуры, ограниченной параболой , касатель
Решить и по возможности объяснить решение! найдите площадь фигуры, ограниченной параболой , касатель
4,4(27 оценок)
Открыть все ответы
Ответ:
KaterinaaA2003
KaterinaaA2003
15.05.2020

ТРАНСПОРТ

Транспорт, наряду со связью, образованием, энергетикой, составляющей частью комплекса инфраструктурных отраслей, обеспечивающих базовые условия жизнедеятельности общества, и является важнейшим инструментом достижения социальных, экономических и других приоритетов региона. Призваний реально влиять на экономический рост, транспорт сокращает время доставки, тем самым ускоряет товарооборот, влияет на развитие и размещение производительных сил, и, как следствие, на увеличение продуктивности труда. Благодаря расширению транспортной сети улучшается доступность для населения услуг социальной инфраструктуры, улучшаются условия использования свободного времени, увеличивается качество жизни в целом.

Потому уровень развития транспорта в регионе определяет и уровень социально-экономического развития. Функционирование транспортного комплекса Автоном­ной Республики Крым обеспечивают 32 тысячи человек, что составляет почти 8% численности работников отраслей экономики республики.

В составе транспортной системы 6,7 тыс. км автомобильных дороге твердым покрытием, и том числе 2,3 тыс. км автомагистралей; 0,7 тыс. км железных дорог, из которых 0,3 тыс. км электрифицировано. Протяженность магистральных газопроводов составляет более 0,6 тыс. км. 

4,7(78 оценок)
Ответ:
ivanovanadusa03
ivanovanadusa03
15.05.2020

12 cm³

Пошаговое объяснение:

Щоб вирішити цю задачу , треба знайти висоту призми і площу основи цієї призми.тому почнемо з основи: маємо трикутникАВС , де АС=2 см і кут В=30°  , тоді ВС буде =4 см(катет АС=2 і лежить проти кута в 30°, тому діагональ  в такому трикутнику буде 2АС =4., згідно теореми Піфагора знайдемо іншу сторону трикутникаАВ   АВ²=ВС²-АС²=12  АВ=√12=2√3

 тепер знайдемо площу основи Sосн.=1/2*2√3=√3 см²

  щоб знайти об"єм , треба знайти висоту призми,а нам відомо , що діагональ більшої грані створює з основою кут в 60°  , а більша грань буде створюватися діагональю основи , тому маємо такий прямокутник:  сторона ВС=4 см , кут при основі 60° і висота h(висота трапеії)      h/ВС=tg60°    h=4*√3=4√3    маючи висоту і площу основи, знайдемо об"єм     V=4√3*√3=4*3=12 (cm³)

4,6(59 оценок)
Это интересно:
Новые ответы от MOGZ: Математика
logo
Вход Регистрация
Что ты хочешь узнать?
Спроси Mozg
Открыть лучший ответ