М
Молодежь
К
Компьютеры-и-электроника
Д
Дом-и-сад
С
Стиль-и-уход-за-собой
П
Праздники-и-традиции
Т
Транспорт
П
Путешествия
С
Семейная-жизнь
Ф
Философия-и-религия
Б
Без категории
М
Мир-работы
Х
Хобби-и-рукоделие
И
Искусство-и-развлечения
В
Взаимоотношения
З
Здоровье
К
Кулинария-и-гостеприимство
Ф
Финансы-и-бизнес
П
Питомцы-и-животные
О
Образование
О
Образование-и-коммуникации
nastyatsepeleva
nastyatsepeleva
19.12.2021 15:58 •  Математика

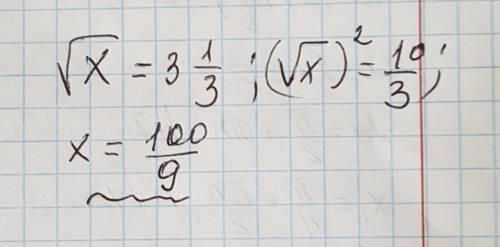
Найдите число арифметический квадратный корень из которого равен: 3 1 /3

👇
Ответ:
Vexicy
Vexicy
19.12.2021
Решение задания смотри на фотографии
Найдите число арифметический квадратный корень из которого равен: 3 1 /3
4,8(81 оценок)
Открыть все ответы
Ответ:
Вова1337228
Вова1337228
19.12.2021
Что нужно знать перед началом использования


Для того чтобы научиться пользоваться посудомоечной машиной, нужно взять в руки инструкцию и внимательно ознакомиться со всеми ее пунктами, советами и рекомендациями. Проблема осложняется тем, что в нашей стране принято читать инструкции по эксплуатации лишь тогда, когда «ничего не получается» - таков менталитет отечественных пользователей, любящих доходить до всего своим собственным умом.
Подробнее: http://2stiralki.ru/polzovanie-posudomoechnoy-mashinoy/kak-pravilno-polzovatsya-posudomoechnoy-mashi...

4,4(8 оценок)
Ответ:
Nikitos31055
Nikitos31055
19.12.2021

Поскольку количество квартир на каждом этаже должно быть одинаковое, сперва необходимо найти количество квартир в 1 подъезде. Поскольку дом имеет 7 подъездов, следует что в каждом подъезде в среднем. 462/7=66 квартир. Поскольку дом 7 этажный, принимаем значение количества квартир в подъезде равное. 66/7=9,42. Приблизительно равно 10 квартир на этаж. В таком случае в первых 6 подъездах, количество квартир будет равно. 10*6*7=420 квартир. Квартира Саши имеет номер 462, поэтому в 7 подъезде она идет под 462-420=42 номером. Таким образом, если учесть что на этаже 10 квартир, получим. 42/10=4,2 Квартира Саши расположена на 5 этаже..

4,7(30 оценок)
Это интересно:
Новые ответы от MOGZ: Математика
logo
Вход Регистрация
Что ты хочешь узнать?
Спроси Mozg
Открыть лучший ответ