М
Молодежь
К
Компьютеры-и-электроника
Д
Дом-и-сад
С
Стиль-и-уход-за-собой
П
Праздники-и-традиции
Т
Транспорт
П
Путешествия
С
Семейная-жизнь
Ф
Философия-и-религия
Б
Без категории
М
Мир-работы
Х
Хобби-и-рукоделие
И
Искусство-и-развлечения
В
Взаимоотношения
З
Здоровье
К
Кулинария-и-гостеприимство
Ф
Финансы-и-бизнес
П
Питомцы-и-животные
О
Образование
О
Образование-и-коммуникации
blik5
blik5
12.12.2020 09:44 •  Математика

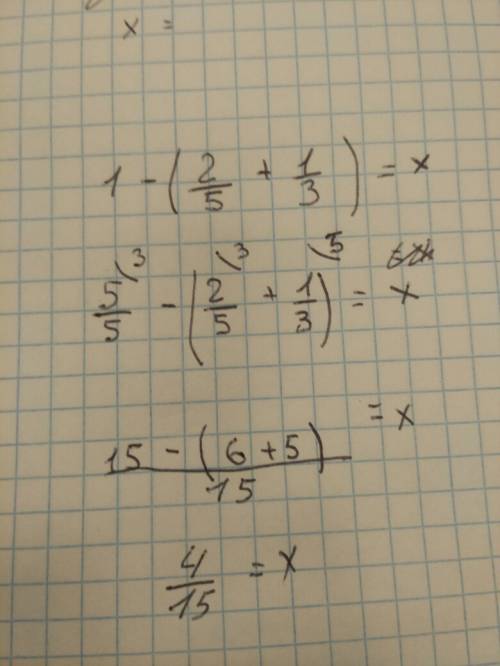
На сканере за первый час от скандировали 2\5 , за второй 1\3 , за третий остальную часть. сколько отсконировали за 3 час

👇
Ответ:
shol09
shol09
12.12.2020
ответ: за третий часа отсканировано четыре пятнадцатых страниц

На сканере за первый час от скандировали 2\5 , за второй 1\3 , за третий остальную часть. сколько от
4,7(86 оценок)
Открыть все ответы
Ответ:
Элиманго
Элиманго
12.12.2020

0,4; 0,402; 6,21; 7,2; 7,23; 11,12; 11,3; 12

Пошаговое объяснение:

"," - разделение целой части и дробной. сначала сравниваем целые части - таким образом получаем: 0, 0, 6, 7, 7, 11, 11, 12. Ну а после этого, если получаются повторения, сравниваем дробные части. В данном случае мы сравниваем 0,4 и 0,402; 7,2 и 7, 23; 11, 12 и 11,3.

0,4 - Это то же самое, что и 0, 400. 400<402, так что 0, 4 стоит перед 0,402.

7,2 - Это то же самое, что и 7,20. 20<23, так что 7, 2 стоит перед 7,23.

11,3 - Это то же самое, что и 11,30. 30>12, так что 11,3 стоит после 11,12.

4,7(11 оценок)
Ответ:
Abbal
Abbal
12.12.2020

Пошаговое объяснение:

продали - 3/5 части всех велосипедов

осталось - 20 велосипедов

Всего было первоначально  - ? велосипедов

Всего велосипедов было - 1

Когда продали 3/5 части  всех велосипедов , в магазине осталось :

1- 3/5 = 5/5 - 3/5= 2/5 части всех велосипедов

По условию осталось 20 велосипедов и это составляет 2/5 части, найдем сколько было велосипедов изначально :

20 велосипедов  это 2/5 части

х велосипедов  это  1

х= (20*1): 2/5 = 20 :2/5 = 20*5/2= 50 велосипедов было изначально в магазине

ответ : Изначально в магазине было 50 велосипедов

4,4(32 оценок)
Это интересно:
Новые ответы от MOGZ: Математика
logo
Вход Регистрация
Что ты хочешь узнать?
Спроси Mozg
Открыть лучший ответ