М
Молодежь
К
Компьютеры-и-электроника
Д
Дом-и-сад
С
Стиль-и-уход-за-собой
П
Праздники-и-традиции
Т
Транспорт
П
Путешествия
С
Семейная-жизнь
Ф
Философия-и-религия
Б
Без категории
М
Мир-работы
Х
Хобби-и-рукоделие
И
Искусство-и-развлечения
В
Взаимоотношения
З
Здоровье
К
Кулинария-и-гостеприимство
Ф
Финансы-и-бизнес
П
Питомцы-и-животные
О
Образование
О
Образование-и-коммуникации
kolya1pokachalov
kolya1pokachalov
31.10.2020 01:11 •  Математика

Найдите интеграл, используя основные методы интегрирования:

👇
Ответ:
dashden354
dashden354
31.10.2020
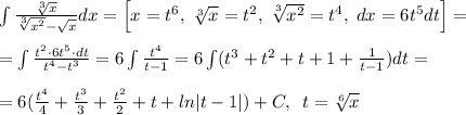
\int \frac{ \sqrt[3]{x} }{ \sqrt[3]{x^2} - \sqrt{x} } dx=\left [x=t^6,\; \sqrt[3]{x}=t^2,\; \sqrt[3]{x^2}=t^4,\; dx=6t^5dt \right ]=\\\\=\int \frac{t^2\cdot 6t^5\cdot dt}{t^4-t^3}=6\int \frac{t^4}{t-1}=6\int (t^3+t^2+t+1+\frac{1}{t-1})dt=\\\\=6(\frac{t^4}{4}+\frac{t^3}{3}+\frac{t^2}{2}+t+ln|t-1|)+C,\; \; t=\sqrt[6]{x}
4,6(64 оценок)
Открыть все ответы
Ответ:
Ilyavazhnov1995
Ilyavazhnov1995
31.10.2020
Формула площади трапеции: полусумма оснований умножить на высоту
Основания нам известны, неизвестна только высота.
Высоту можно найти из прямоугольного треугольника. 
Из вершины трапеции вниз опускаешь высоту.
Её можно найти из прямоугольного треугольника, его гипотенузой будет боковая сторона, а один из катетов будет расстояние от нижней вершины до места куда опустится высота
Этот катет будет равен 16-4=12 и разделить на 2, т.е 6
Теперь осталось найти саму высоту, находим по т.Пифагора
10^2-6^2=64, Корень из 64 = 8
Теперь ищем площадь трапеции
S=a+b/2*h
S=16+4/2*8=80
ответ:80
4,4(14 оценок)
Ответ:
armenchik2007
armenchik2007
31.10.2020
Формула площади трапеции: полусумма оснований умножить на высоту
Основания нам известны, неизвестна только высота.
Высоту можно найти из прямоугольного треугольника. 
Из вершины трапеции вниз опускаешь высоту.
Её можно найти из прямоугольного треугольника, его гипотенузой будет боковая сторона, а один из катетов будет расстояние от нижней вершины до места куда опустится высота
Этот катет будет равен 16-4=12 и разделить на 2, т.е 6
Теперь осталось найти саму высоту, находим по т.Пифагора
10^2-6^2=64, Корень из 64 = 8
Теперь ищем площадь трапеции
S=a+b/2*h
S=16+4/2*8=80
ответ:80
4,6(36 оценок)
Новые ответы от MOGZ: Математика
logo
Вход Регистрация
Что ты хочешь узнать?
Спроси Mozg
Открыть лучший ответ