М
Молодежь
К
Компьютеры-и-электроника
Д
Дом-и-сад
С
Стиль-и-уход-за-собой
П
Праздники-и-традиции
Т
Транспорт
П
Путешествия
С
Семейная-жизнь
Ф
Философия-и-религия
Б
Без категории
М
Мир-работы
Х
Хобби-и-рукоделие
И
Искусство-и-развлечения
В
Взаимоотношения
З
Здоровье
К
Кулинария-и-гостеприимство
Ф
Финансы-и-бизнес
П
Питомцы-и-животные
О
Образование
О
Образование-и-коммуникации
alyonavasnecova34
alyonavasnecova34
15.04.2020 14:21 •  Математика

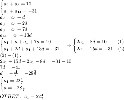
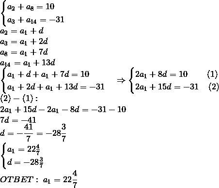
Сумма второго и восьмого членов равна 10, а сумма третьего и четврнадцатого -31 найдите первый член прогрессии

👇
Ответ:
Кекушка36
Кекушка36
15.04.2020
\begin{cases}a_2+a_8=10\\a_3+a_{14}=-31\end{cases}\\a_2=a_1+d\\a_3=a_1+2d\\a_8=a_1+7d\\a_{14}=a_1+13d\\\begin{cases}a_1+d+a_1+7d=10\\a_1+2d+a_1+13d=-31\end{cases}\Rightarrow\begin{cases}2a_1+8d=10\;\;\;\;\;\;\;\;(1)\\2a_1+15d=-31\;\;\;\;(2)\end{cases}\\(2)-(1):\\2a_1+15d-2a_1-8d=-31-10\\7d=-41\\d=-\frac{41}7=-28\frac37\\\begin{cases}a_1=22\frac47\\d=-28\frac37\end{cases}\\\\OTBET:\;a_1=22\frac47
Сумма второго и восьмого членов равна 10, а сумма третьего и четврнадцатого -31 найдите первый член
4,8(41 оценок)
Открыть все ответы
Ответ:
Х+8*3=300
х+24=300
х=300-24
х=276            проверка:   276+8*3=300
                                          276+24=300
                                             300=300
х+540:10=92
х+54=92
х=92-54
х=38                       проверка: 38+540:10=92
                                                  38+54=92
                                                      92=92
7*х=851-151
7*х=700
х=700:7
х=100                         проверка:     7*100=851-151
                                                            700=700
90:а=600:10
90:а=60
а=90:60
а=1,5                      проверка:     90:1,5=600:10
                                                         60=60
4,6(86 оценок)
Ответ:
Знаете кто такой герой? Это тот, кто, рискуя своей жизнью людям. Он должен быть смелым, честным, справедливым и добрым.

Я считаю героями людей, которые подарили ценой своей жизни нам свободную и спокойную жизнь – это люди ветераны. Вы лишь представьте, сколько они перетерпели за эти ужасные годы войны. Голодные, раненые, они сражались за будущее нашей страны. Они бросили свои семьи, своих жен, детей, матерей, и ушли воевать. Многие не возвратились домой. Многие вернулись ранеными и незначительное количество живыми и невредимыми. Эти герои уходили на войну кто в 15 лет, кто в 25 а кто и в 50.Эти храбрые люди знали, что могут не вернуться домой, но все равно боролись. Лишь благодаря их мучениям, страданиям и мужеству, мы сейчас живем в свободной стране, не от кого не зависим, имеем свободу слова. Мы должны уважать и сохранять их подвиги в книгах, мыслях и сердцах и никогда не забывать о них. Рассказывать своим детям и внукам. Ведь только благодаря их храбрости мы свободны. А многие не почитают этих людей, а наоборот ведут себя некорректно по отношению к ним. Скорее всего, вы были на братских могилах этих храбрых воинов. Вы обращали внимание на имена, которые были на них написаны? Этих имен просто не исчисленное количество. Мне очень жаль, что столько жизней стоила наша свобода, которую современное поколение почти не ценит. Представьте как больно тем людям, кто потерял своих родных или любимых людей на войне.

Ветеран – это не профессия, это страшное человека. Война - самое страшное, что может твориться в мире. Хорошо, что мы не представляем что это такое, и я очень рада, что я не жила во время войны, так как она уносит миллионы жизней, забирает навсегда дорогих нам людей. Разрушает все, что было построено. Только благодаря ним, мы не видели этих страшных мук войны, мы смело гуляем по улицам, мы получаем образование, мы не голодаем, обуваемся, одеваемся, живем в тепле вместе со своими любимыми.

Я всегда восхищалась их подвигами. Да, да, именно подвигами. Другими словами их жизненный путь на войне не назовешь. Мы должны помнить, уважать и этим людям. Их, на данный момент, осталось очень мало. И люди просто обязаны делать все, чтоб их жизнь была хорошей. Уделять им больше внимания, интересоваться их здоровьем. Даже эти простые действия порадует ветеранов, и они всегда будут чувствовать себя нужными. Помните, что мы им обязаны абсолютно всем, что имеем. Они старались для нас, так давайте же ценить все, что мы имеем и сохраним это на многие тысячелетие.

Вы когда-нибудь были среди множества ветеранов на параде, вы видели их сияющие лица, когда молодые мальчики и девочки поздравляют их с победой и дарят им шикарные букеты цветов. Они сияют изнутри, они радуются, что мы не забываем их и то, что они для нас сделали. А они подарили нам самое главное – свободу!
4,5(38 оценок)
Новые ответы от MOGZ: Математика
logo
Вход Регистрация
Что ты хочешь узнать?
Спроси Mozg
Открыть лучший ответ