М
Молодежь
К
Компьютеры-и-электроника
Д
Дом-и-сад
С
Стиль-и-уход-за-собой
П
Праздники-и-традиции
Т
Транспорт
П
Путешествия
С
Семейная-жизнь
Ф
Философия-и-религия
Б
Без категории
М
Мир-работы
Х
Хобби-и-рукоделие
И
Искусство-и-развлечения
В
Взаимоотношения
З
Здоровье
К
Кулинария-и-гостеприимство
Ф
Финансы-и-бизнес
П
Питомцы-и-животные
О
Образование
О
Образование-и-коммуникации
неудачник16
неудачник16
18.01.2022 08:43 •  Математика

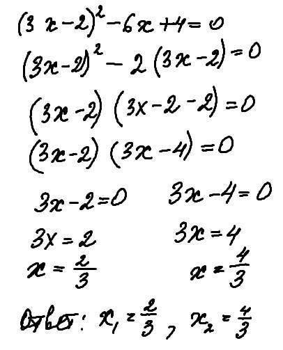
Решите ) 7 класс решение уравнений с разделения на множители (3x-2)²-6x+4=0

👇
Ответ:
Решение в прикрепленном файле.
Решите ) 7 класс решение уравнений с разделения на множители (3x-2)²-6x+4=0
4,5(54 оценок)
Ответ:
наталья732
наталья732
18.01.2022
(3x-2)^2-6+4=0
3x^2-2*3x*2+2^2-6+4=0 ((3x-2)^2 квадрат разности,мы раскрыли его по        формуле,теперь просто упрощаем)
(9)x^2-12x-6=0 
По средствам дальнейших колдунств мы получим то что x=2/3 
4,4(46 оценок)
Открыть все ответы
Ответ:

6/Задание № 5:

Сливы разложили на 5 тарелок поровну. Аня съела все сливы с одной тарелки, затем половину слив с другой тарелки и ещё треть слив с третьей тарелки, на тарелках осталось всего 19 слив. Сколько слив съела Аня?

РЕШЕНИЕ: Найдем сколько "тарелок" съела Аня: 1+1/2+1/3=6/6+3/6+2/6=11/6. Значит, осталось в наличии 5-11/6=30/6-11/6=19/6 "тарелок". Эта величина соответствует 19 сливам. Так как количество тарелок пропорционально количеству слив, составляем пропорцию:

(11/6)/(19/6)=х/19, где х -число съеденных слив

11/19=х/19

х=11

ОТВЕТ: 11 слив

4,6(35 оценок)
Ответ:
GucciGang007
GucciGang007
18.01.2022
Самый молодой город в Крыму Щелкино основан в октябре 1978 года как посёлок строителей Крымской АЭС. Назван город в честь выдающегося физика-ядерщика К. И. Щёлкина, что отражено в проекте герба знаком атома. Крымское Приазовье исторически специализировалось на рыболовстве и сельском хозяйстве. Сегодня ориентиры смещаются к курортно-рекреационной сфере, для развития которой есть все необходимые ресурсы – теплое море, хорошие пляжи, лечебные грязи, минеральные источники, интересные природные и историко-археологические объекты. 
В проекте герба дельфины символизируют уникальную экологически чистую природу окрестностей, курортно-туристические возможности города, который в недалеком будущем станет центром отдыха на берегу теплого Азовского моря. Золотое солнце подчеркивает эту идею, а также напоминает, что на берегу Акташского озера у села Азовское была возведена первая в СССР солнечная электростанция. 
Конструкция герба напоминает Казантипский полуостров, где солнце – это сам Казантип, а острие – перемычка-перейма, соединяющая его с Керченским полуостровом. 
Красный цвет отражает историческую связь времен, жизнеутверждающую силу и энергию. Синий цвет символизирует красоту и величие, синее море и голубое небо одного из самых удивительных уголков Крымского Приазовья".
4,4(41 оценок)
Новые ответы от MOGZ: Математика
logo
Вход Регистрация
Что ты хочешь узнать?
Спроси Mozg
Открыть лучший ответ