М
Молодежь
К
Компьютеры-и-электроника
Д
Дом-и-сад
С
Стиль-и-уход-за-собой
П
Праздники-и-традиции
Т
Транспорт
П
Путешествия
С
Семейная-жизнь
Ф
Философия-и-религия
Б
Без категории
М
Мир-работы
Х
Хобби-и-рукоделие
И
Искусство-и-развлечения
В
Взаимоотношения
З
Здоровье
К
Кулинария-и-гостеприимство
Ф
Финансы-и-бизнес
П
Питомцы-и-животные
О
Образование
О
Образование-и-коммуникации
lubimka4
lubimka4
01.03.2021 04:59 •  Математика

Решить примеры с долями.три целых одна пятнадцатая прибавить две целых семь двадцать пятых

👇
Ответ:
CoJlne4Hblu
CoJlne4Hblu
01.03.2021
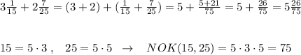
3\frac{1}{15}+2 \frac{7}{25}=(3+2)+( \frac{1}{15} +\frac{7}{25} )=5+\frac{5+21}{75}=5+ \frac{26}{75}=5 \frac{26}{75} \\\\\\15=5\cdot 3\; ,\; \; \; 25=5\cdot 5\; \; \to \; \; \; NOK(15,25)=5\cdot 3\cdot 5=75
4,7(25 оценок)
Ответ:
клубочек333
клубочек333
01.03.2021
3 1/15+2 7/25=46/15+57/25=230/75+171/75=401/75=5 26/75
4,8(35 оценок)
Открыть все ответы
Ответ:

√(4-10х-х²)=-2х-1 ;

Возведем в квадрат обе части

(4-10х-х²)=(-2х-1)²

4-10х-х²=4х²+4х+1

5х²+14х-3=0

х₁,₂=(-7±√(49+15))/5=(-7±8)/5

x₁=-3; x₂=1/5

При возведении в квадрат могли появиться посторонние корни. Поэтому сделаем проверку.

x₁=-3; √(4-10*(-3)-9)=-2*(-3)-1 ; 5=5, значит, x₁=-3 -корень исходного уравнения. Второй корень не является корнем исходного уравнения, т.к. правая часть √(4-10х-х²)=-2х-1  при х=1/5 - есть число отрицательное, чего быть не может, т.к. левая часть не может быть отрицательной.

Значит, корень один. И он равен -3.

ответ -3

4,7(54 оценок)
Ответ:
abdrahmanova136
abdrahmanova136
01.03.2021
«Холодное сердце» — удивительное творение, в котором классические традиции студии «Walt Disney» сочетаются с новыми приятными добавками. К примеру, 3D-эффект пришелся здесь очень кстати, а кропотливая работа над анимацией принесла колоссальный успех. Кроме того, хотелось бы отметить оригинальных персонажей, которые живут в королевстве Эренделл и близлежащих окрестностях. Все они получились веселыми и смешными, как того и требовала концепция мультика.
Сюжет. В основу картины легла сказка «Снежная королева.» Но «Холодное сердце» похоже на нее лишь идеей. Сюжетная линия, а также главные герои совершенно другие. Нам расскажут историю двух сестер, которым придется столкнуться со страшным проклятием. Эльза (старшая сестра) не смогла совладать со своей магической силой и в результате превратилась в Снежную королеву, а в королевстве настала вечная зима. Теперь младшей сестре Анне предстоит найти сбежавшую волшебницу, чтобы та смогла все исправить. А в этом ей будут альпинист Кристофф, его ручной олень Свен и забавный снеговик Олаф, которого сестры слепили в далеком детстве…
Атмосфера. Сказочная, волшебная, фэнтэзийная и добрая семейная комедия абсолютно точно не даст вам заскучать. Приключенческий дух вам окончательно погрузиться в мир по другую сторону экрана, и не успеете вы прийти в себя, как уже будут идти финальные титры. К концу просмотра количество положительных эмоций во мне превысило всякие допустимые пределы и я окончательно влюбился в этот мультфильм. Чего и вам искренне желаю.
Юмор. Великолепно проработанные шутки и смешные моменты здесь присутствуют на протяжении всего времени, а их число просто зашкаливает. При этом юмор очень душевный, изящный и качественный во всех смыслах. Снеговик Олаф понравился мне больше всего. Он здесь представлен как невероятный оптимист, не унывающий ни при каких обстоятельствах. 
Музыка. Музыкальные моменты невероятно сильные и чувственные. Они до такой степени прекрасны, что входят теперь в число моих самых любимых наравне с мюзиклами из мультфильмов «Король лев» и «Мулан.» Первые минут 40 мультика вообще божественны в музыкальном плане, а момент с песней «Отпусти и забудь» (в оригинале — «Let it go») до такой степени классный, что по мне даже мурашки пробежали во время сеанса. Следующим мультипликационным фильмам, которые выйдут вслед за «Холодным сердцем», есть на что ровняться.
Итог. У меня нет слов, чтобы описать, в каком я пребываю восторге… Интересный, задорный, красочный и смешной мультфильм о том, какую огромную роль играют наши чувства в жизни. Если вы хотите поскорей почувствовать новогоднее настроение, если хотите ощутить частичку тепла и подарить ее близким, если хотите прекрасно провести время — бегом в кинотеатры. Берите с собой всю семью, любимого человека или друзей (а можно и всех сразу) и вперед! Пропустить такой шедевр — настоящее преступление!
4,7(57 оценок)
Это интересно:
Новые ответы от MOGZ: Математика
logo
Вход Регистрация
Что ты хочешь узнать?
Спроси Mozg
Открыть лучший ответ