М
Молодежь
К
Компьютеры-и-электроника
Д
Дом-и-сад
С
Стиль-и-уход-за-собой
П
Праздники-и-традиции
Т
Транспорт
П
Путешествия
С
Семейная-жизнь
Ф
Философия-и-религия
Б
Без категории
М
Мир-работы
Х
Хобби-и-рукоделие
И
Искусство-и-развлечения
В
Взаимоотношения
З
Здоровье
К
Кулинария-и-гостеприимство
Ф
Финансы-и-бизнес
П
Питомцы-и-животные
О
Образование
О
Образование-и-коммуникации
sofikolomiets04
sofikolomiets04
05.07.2022 16:29 •  Математика

5/14+х+9/14=2/9+9/10= (2/3+х)+(1/5+1/3)=9/10+4/5-3/

👇
Ответ:
pohta000000
pohta000000
05.07.2022
5/14+х+9/14=2/9+9/10= (2/3+х)+(1/5+1/3)=9/10+4/5-3/
4,6(71 оценок)
Ответ:
istepysh
istepysh
05.07.2022
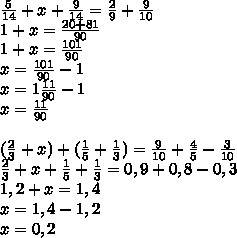
1)5/14+х+9/14=2/9+9/10
1+х=1 11/90
х=1 11/90-1
х=11/90
2)(2/3+х)+(1/5+1/3)=9/10+4/5-3/10
2/3+х+1/5+1/3=9/10+8/10-3/10
1+х+1/5=1 4/10
1 1/4+х=1 4/10
х=1 4/10-1 1/4
х=3/20
ОТВЕТ:11/90 и 3/20
4,4(78 оценок)
Открыть все ответы
Ответ:
alisabugor
alisabugor
05.07.2022

На левом рисунке изображена гадюка,на правом-уж.


Сходство в том,что обе змеи-это пресмыкающиеся, обитают недалеко от водоёмов,умеют хорошо плавать имеют тёмную окраску и не нападают первыми на человека.


Различия-гадюка очень ядовитая змея,а уж-нет.Яд гадюки смертелен для человека,при укусе необходима медицинская У ужа есть характерные жёлтые пятна по бокам головы-это видимое отличие от гадюки,у которой на спине видны  зигзагообразные рисунки.Голова гадюки треугольная и плоская,у ужа-овальная.Ужи живут на лугах,а гадюки в лесах.Тело ужа длиннее и тоньше,чем у гадюки.



Окружающий мир 2 часть 3 класс номер: 3 страница 17-18. сравнение гадюки и ужа. сходство: различия:
4,6(6 оценок)
Ответ:
мадина3031
мадина3031
05.07.2022

На левом рисунке изображена гадюка,на правом-уж.


Сходство в том,что обе змеи-это пресмыкающиеся, обитают недалеко от водоёмов,умеют хорошо плавать имеют тёмную окраску и не нападают первыми на человека.


Различия-гадюка очень ядовитая змея,а уж-нет.Яд гадюки смертелен для человека,при укусе необходима медицинская У ужа есть характерные жёлтые пятна по бокам головы-это видимое отличие от гадюки,у которой на спине видны  зигзагообразные рисунки.Голова гадюки треугольная и плоская,у ужа-овальная.Ужи живут на лугах,а гадюки в лесах.Тело ужа длиннее и тоньше,чем у гадюки.



Окружающий мир 2 часть 3 класс номер: 3 страница 17-18. сравнение гадюки и ужа. сходство: различия:
4,6(43 оценок)
Это интересно:
Новые ответы от MOGZ: Математика
logo
Вход Регистрация
Что ты хочешь узнать?
Спроси Mozg
Открыть лучший ответ