Вход
Регистрация
Спроси Mozg AI
М
Молодежь
К
Компьютеры-и-электроника
Д
Дом-и-сад
С
Стиль-и-уход-за-собой
П
Праздники-и-традиции
Т
Транспорт
П
Путешествия
С
Семейная-жизнь
Ф
Философия-и-религия
Б
Без категории
М
Мир-работы
Х
Хобби-и-рукоделие
И
Искусство-и-развлечения
В
Взаимоотношения
З
Здоровье
К
Кулинария-и-гостеприимство
Ф
Финансы-и-бизнес
П
Питомцы-и-животные
О
Образование
О
Образование-и-коммуникации
.....больше.....
..меньше..
SVINKAPIPA
03.08.2020 18:44 •
Математика
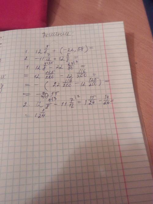
Нади число, которое на двенадцать целых пять восьмых больше числа: 1) -22,58 2) - одинадцать цел. семь двенадцатых
👇
Увидеть ответ
Ответ:
lehfff
03.08.2020
Решение прикреплено. :)
4,6
(71 оценок)
Открыть все ответы
Ответ:
nazarushka
03.08.2020
(x-87)-27=36 х-87=36+27 х-87=36+27 х-87=63 х-87=63 х=87+63 х=87+63 х=150 х=150
4,4
(3 оценок)
Ответ:
sev200684
03.08.2020
(x-87)-27=36 х-87=36+27 х-87=36+27 х-87=63 х-87=63 х=87+63 х=87+63 х=150 х=150
4,6
(26 оценок)
Это интересно:
С
Семейная-жизнь
18.02.2023
Как придумать крутое и запоминающееся прозвище для себя или других?...
О
Образование-и-коммуникации
26.01.2022
Как хорошо учиться: советы, методы и секреты...
К
Компьютеры-и-электроника
03.08.2020
Вредоносное ПО в Facebook: как избавиться от него...
К
Кулинария-и-гостеприимство
18.08.2021
Сделай свой день еще сладким: как сделать букет из конфет...
Х
Хобби-и-рукоделие
24.04.2020
Как сделать бумажный вертолет...
Ф
Финансы-и-бизнес
08.08.2021
Как заключить брачный договор в Таиланде: советы для тех, кто собирается расписываться...
К
Кулинария-и-гостеприимство
02.03.2020
Как включить куркуму в рацион и получить пользу для здоровья?...
П
Путешествия
10.03.2021
Контроль мочевого пузыря в автобусе: как оставаться комфортным в пути...
02.05.2022
Как понять, что вы повзрослели: признаки и особенности...
С
Стиль-и-уход-за-собой
19.07.2022
Как наносить минеральный тональный крем: лучшие советы и рекомендации от профессионалов...
Новые ответы от MOGZ: Математика
витно
13.10.2022
Отметьте на координатной плоскости точки А(-4; 5), В(2; 0), С(0; -4) и соедините их отрезками друг с другом. Какая фигура получилась?...
glushkovaov
13.10.2022
15-го января планируется взять кредит в банке в размере S рублей на и месяцев. Условия его возврата таковы: 1-го числа каждого месяца долг возрастает на 2% по сравне-...
sashapeterov85
08.11.2022
Решыте Розв’яжіть систему рівнянь підстановки ...
стэа
13.11.2021
заучу сдавать через 5 минут точка а знаходиться на осі абсцис А точка б на осі ординат одна з координат точки б в три рази менше за одну з координат точки А сума...
ValeriaSalvatore
09.03.2020
В любом вписанном четырехугольнике сумма противолежащих углов равна а) 360; б) 180; в) 90....
Валерия555444
29.07.2020
Выполни деление: 3,1 : 5 (Пошагово!)...
шкода4
23.12.2022
Определи аналитический зависимости заданной табличным у=4х 2)у=х2 3)у=2х 4)у=х+10 5)у=4+х...
postnovat
13.12.2022
Начертите на координатной плоскости треугольник АВС, если А( -2; 2), В( 1;- 4), С(3;4). Найдите координаты точек пересечения стороны АВ с осью у и стороны ВС с осью...
darka448Darina
13.12.2022
Решите очень надо, С подробным решением...
milenairk38
08.11.2020
Начертите На координатной плоскости постройте треугольник МNK, М (-4 ; -3) , N (1; 4 ), К (4 ;-5) Найдите координаты точек пересечения стороны MN с осью х и стороны...
MOGZ ответил
Заполните таблицу до 6 пункта....
ТЫК СЮДЫ В тетраэдре АВСД точки М,К, Р- середины ребер АВ, ВД,...
Ласточки пропали, А вчера зарёй Всё грачи летали Да, как сеть,...
Заколдованное место Укажите место, где стали путаться ноги деда...
ВЫДЕЛИТЬ СУФФИКСЫ И ОКОНЧАНИЯ ГЛАГОЛОВ. + указать спряжение глаголов...
Чи погоджуєтеся ви з твердженням В. Левицького, що трійчани «видрукували...
Составьте приложения Brown/who/Mr./is...
 Эссэ по естествознанию на тему синтетические вещества...
Пользуясь правилом экологической пирамиды, определите, какая площадь...
Опишите, каким образом переменные величины могут получать конкретные...
Полный доступ к MOGZ
Живи умнее Безлимитный доступ к MOGZ
Оформи подписку
О НАС
О нас
Блог
Условия пользования
Авторское право
Политика конфиденциальности
Предпочтения cookie-файлов
ПОМОЩЬ
Зарегистрируйся
Центр помощи
Центр безопасности
App
Вход
Регистрация
Что ты хочешь узнать?
Спроси Mozg
Открыть лучший ответ
×