Вход
Регистрация
Спроси Mozg AI
М
Молодежь
К
Компьютеры-и-электроника
Д
Дом-и-сад
С
Стиль-и-уход-за-собой
П
Праздники-и-традиции
Т
Транспорт
П
Путешествия
С
Семейная-жизнь
Ф
Философия-и-религия
Б
Без категории
М
Мир-работы
Х
Хобби-и-рукоделие
И
Искусство-и-развлечения
В
Взаимоотношения
З
Здоровье
К
Кулинария-и-гостеприимство
Ф
Финансы-и-бизнес
П
Питомцы-и-животные
О
Образование
О
Образование-и-коммуникации
.....больше.....
..меньше..
clon255
19.04.2022 21:09 •
Математика
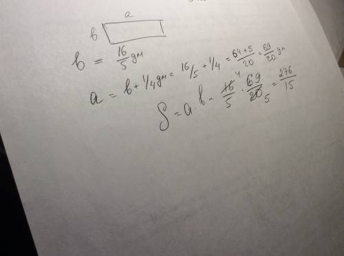
Найди площадь прямоугольника ширина которого шестнадцыть пятых дм и она меньше длины на одну четвёртую дм
👇
Увидеть ответ
Ответ:
вика134475
19.04.2022
Смотри ответ на фотографии
4,6
(7 оценок)
Открыть все ответы
Ответ:
Никита111116644
19.04.2022
Пусть а - первое число, в - второе число.
ав - произведение двух чисел а и в.
а^2 + в^2 - сумма квадратов чисел а и в.
ав/(а^2 + в^2) - отношение произведения чисел а и в к сумме их квадратов.
Система уравнений:
ав = 6
(а^2 + в^2) = 13
В первом уравнении выразим а через в:
а=6/в
и подставим во второе уравнение
(6/в)^2 + в^2 = 13
36/(в^2) + в^2 = 13
Умножим обе части уравнения на в^2:
36 + в^4 = 13в^2
в^4 - 13в^2 + 36 = 0
Заменим в^2 на с:
с^2 - 13с + 36 = 0
Дискриминант=
= 13^2 - 4•36 =
= 168-144=25
√дискриминанта = +-5
с1 = (13+5)/2 = 18/2=9
с2 = (13-5)/2= 8/2=4
Но с=в^2
Следовательно,
в1 = √9 = +3
в2= √9 = -3
в3 = √4 = +2
в4 = √4 = -2
Подставим в уравнение:
а = 6/в
а1 = 6/(+3) = +2
а2 = 6/(-3) = -2
а3 = 6/(+2) = +3
а4 = 6/(-2) = -3
Проверка:
1) Для а1=+2, в1=3
ав= 2•3=6
а^2 + в^2 = 2^2 + 3^2 =
=4+9=13
2) Для а2=-2, в2=-3
ав= (-2)•(-3)=6
а^2 + в^2 =
(-2)^2 + (-3)^2 =
=4+9=13
3) Для а1=+3, в1=3
ав= 3•2=6
а^2 + в^2 = 3^2 + 2^2 =
=9+4=13
4) Для а1=-3, в1=-2
ав= (-3)•(-2)=6
а^2 + в^2 =
(-3)^2 + (-2)^2 =
=9+4=13
ответ: эти числа 2 и 3, либо -2 и -3.
4,5
(93 оценок)
Ответ:
TeamFortres2
19.04.2022
х это коэффициент пропорциональности, поэтому умножаем на него (в пропорции при этом ничего не меняется), а потом находим его, складывая части , и приравнивая их к целому.
а)170 в отношении 3:5:9
3х:5х:9х => 3х+5х+9х = 170 => 17x=10 => x=10
30+50+90 = 170
б) 10 в отношении 3 :7 : 10
3x : 7x : 10x => 3x + 7x + 10x = 10 => 20x = 10 => x = 0,5
1,5 + 3,5 + 5 =10 1,5 : 3,5 : 5
в) 14,4 в отношении 1/3 : 1/15 : 0.2
x/3 : x/15 : 0.2x => x/3 + x/15 + x/5 = 14,4 => 5x + x + 3x = 15*14,4 => 9x = 216
=> x = 24
24/3 + 24/15 + 24/5 = 14.4 => 8 + 1,6 + 4,8 = 14.4 8 : 1,6 : 4,8
г) 13,5 в отношении 0.2 : 1/6 : 2/15
0.2x : x/6 : 2x/15 => x/5 + x/6 + 2x/15 = 13,5 => 3x + 2,5x + 2x = 15*13,5 =>
=> 7,5x = 202,5 => x = 27
27/5 + 27/6 + 2*27/15 = 13,5 =>
5,4 + 4,5 + 3,6 = 13,5 5,4 : 4,5 : 3,6
4,6
(23 оценок)
Это интересно:
26.01.2022
Как стать центром внимания: справляемся с ролью новой девушки в старших классах...
К
Кулинария-и-гостеприимство
20.11.2022
Как заморозить овощи: полезные советы и рекомендации...
М
Мир-работы
30.04.2023
Как получить работу мечты: 5 шагов к успеху...
Х
Хобби-и-рукоделие
04.10.2022
Как сделать зажигалку: пользовательская инструкция...
К
Компьютеры-и-электроника
30.05.2020
Навсегда избавьтесь от истории Skype: подробная инструкция...
З
Здоровье
21.04.2021
Как распознать экзему: симптомы и признаки...
О
Образование-и-коммуникации
26.04.2020
Лучшие способы самостоятельно создать аэрогель...
Х
Хобби-и-рукоделие
14.04.2021
Завязывание скользящих узлов на ожерелье: профессиональный подход...
К
Компьютеры-и-электроника
27.01.2020
Изучаем, как создавать формы в HTML: полное руководство...
К
Компьютеры-и-электроника
09.04.2021
Как блокировать доступ к YouTube для детей и сотрудников...
Новые ответы от MOGZ: Математика
vadimgricuk74
17.08.2022
Вдвух кусках 9м одинаковой ткани за один заплатили 900 тенге а за другой 720 тенге. сколько метров ткани в каждом куске?...
livi9
17.08.2022
Середнє арифметичне 20 різних додатніх цілих чисел дорівнює 20. яке максимально можливим числом може бути найбільше серед них число?...
ianezlo
17.08.2022
На раскопках археологи нашли ларец с 80 монетами-золотыми и серебрянными. серебрянных монет было на 46 больше, чем золотых.сколько монет каждого вида нашли археологи....
ange4
17.08.2022
Сегодня на занятие в секцию греко-римской борьбы пришло 20 человек. с жребия они выбирают двух человек, которые должны провести перед тренировкой влажную уборку. какова вероятность...
Nastya4002
17.08.2022
1/5 ; 11/20 ; 3/10 нок (5; 20; 10)=20 1/5=4/20 ; 3/10=6/20 ответ: 4/20; 6/20; 11/20 скажите, правильно?...
jamesa99
17.08.2022
Где находились школы? в древнем египте...
мая96
17.08.2022
Найти число, если известно, что: а) на числовом луче оно находится между 1 и 2; б) в его записи содержится 2 знака после запятой и цифра 1 встречается два раза...
Анастасия221111
17.08.2022
X+y=? если х на34 от? а у на 15 от?...
Гудивзь
17.08.2022
Площадь треугольника abc равна 72. de– средняя линия, параллельная стороне ab . найдите площадь трапеции abed...
софия20042009
17.08.2022
Папа потратил премию 10000 р. на подарки жене и детям. 40% этой суммы он потратил на подарок жене, 30% - сыну и 30% - дочери. все ли деньги потратил папа?...
MOGZ ответил
На 70 , ! расставьте коэффициенты в уравнении реакции между серной кислотой...
Выражение и подчеркните его коэффициент 1)-7,5×10×х...
25 сочинение на тему “денсаулық-зор байлық” с переводом...
Решите скорость передачи данных по некоторому каналу связи равна 256кбит...
Скажите важнейший фактор,который влияет на размещение аэс....
Из цифр 1.2.3.4.5 необходимо составить признанные числа, кратные 5, без...
Буцефал проходит 200 км за 5 ч, а волкорог пробегает 60 км за 30с.через...
Втреугольнике klm известно,что км=24.8 дм, угол м=30 градусов, угол к=90...
Готель на карибських островах використовує гасло ,,350 днів сонця щороку!...
Автомобиль равномерно движется по шоссе. совершает ли работу сила тяжести?...
Полный доступ к MOGZ
Живи умнее Безлимитный доступ к MOGZ
Оформи подписку
О НАС
О нас
Блог
Условия пользования
Авторское право
Политика конфиденциальности
Предпочтения cookie-файлов
ПОМОЩЬ
Зарегистрируйся
Центр помощи
Центр безопасности
App
Вход
Регистрация
Что ты хочешь узнать?
Спроси Mozg
Открыть лучший ответ
×