М
Молодежь
К
Компьютеры-и-электроника
Д
Дом-и-сад
С
Стиль-и-уход-за-собой
П
Праздники-и-традиции
Т
Транспорт
П
Путешествия
С
Семейная-жизнь
Ф
Философия-и-религия
Б
Без категории
М
Мир-работы
Х
Хобби-и-рукоделие
И
Искусство-и-развлечения
В
Взаимоотношения
З
Здоровье
К
Кулинария-и-гостеприимство
Ф
Финансы-и-бизнес
П
Питомцы-и-животные
О
Образование
О
Образование-и-коммуникации
Sone4ka1111
Sone4ka1111
21.03.2023 13:02 •  Математика

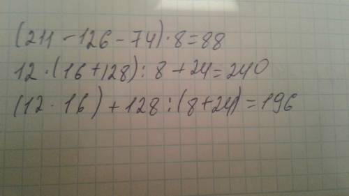
Расставь скобки так чтобы получилось верное действие 211-126-74×8=88. 12×16+128÷8+24=240. 12×16+128÷8+24=196

👇
Ответ:
mankoyana
mankoyana
21.03.2023
(211-126-74)×8=88.
12×(16+128)÷8+24=240
 (12*16)+128/(8+24)=196 
4,4(63 оценок)
Ответ:
Должно быть так поставь
Расставь скобки так чтобы получилось верное действие 211-126-74×8=88. 12×16+128÷8+24=240. 12×16+128÷
4,5(17 оценок)
Открыть все ответы
Ответ:
progeimer16
progeimer16
21.03.2023
1. (91,3+2,16:0,8)-90*0,6 Выставляем порядок действий.
=(91,3 +2,7)-54=94-54=40

2. (1,4х+70у)+2х*0,1 Подставляем значения
=(1,4*1+70*0,1)+2*1*0,1 Расставляем порядок действий
=(1,4+7)+0,2=8,4+0,2=8,6

3. А) 7,3х-2,4=107,1
7,3х=107,1+2,4
7,3х=109,5
х=109,5:7,3
х=15

Б) 5,9х-5,21=9,54
5,9х=9,54+5,21
5,9х=14,75
х=14,75:5,9
х=2,5

4. 168:2,8=60 км/ч - это скорость товарного поезда
168:2,1= 80 км/ч - это скорость скорого поезда
60+80=140 км/ч - это скорость сближения
168:140= 1,2 ч - время в пути до встречи.
ответ: Через 1,2ч они встретятся.

5. Допустим ребро малого куба равна "а". Тогда ребро большого куба 3*а.
Объем малого куба V1=a³
Объем второго куба V2=(3a)³=27a³
V2/V1=27a³/a³=27
ответ: Объем второго куба больше в 27 раз.
4,6(63 оценок)
Ответ:
fedushkinmax
fedushkinmax
21.03.2023

678.

Пошаговое объяснение:

Пусть 6 - цифра, стоящая в разряде сотен в первоначальном числе, b - цифра в разряде десятков, а с - цифра в разряде единиц. Само число равно 600 + 10b + c.

После того, как цифру 6 перенесли в конец числа, b становится цифрой в разделе сотен, с - в разряде десятков, 6 - цифрой в разряде единиц. Новое число равно 100b + 10c + 6.

Зная, что новое число на 108 больше первоначального, составим и решим уравнение:

(100b + 10c + 6) - (600 + 10b + c) = 108

90b + 9c - 594 = 108

90b + 9c = 594 + 108

90b + 9c = 702

10b + c = 78

b = 7; c = 8.

Первоначальное число равно 678.

Проверим полученный результат:

786 - 678 = 108, верно.

4,4(88 оценок)
Это интересно:
Новые ответы от MOGZ: Математика
logo
Вход Регистрация
Что ты хочешь узнать?
Спроси Mozg
Открыть лучший ответ