М
Молодежь
К
Компьютеры-и-электроника
Д
Дом-и-сад
С
Стиль-и-уход-за-собой
П
Праздники-и-традиции
Т
Транспорт
П
Путешествия
С
Семейная-жизнь
Ф
Философия-и-религия
Б
Без категории
М
Мир-работы
Х
Хобби-и-рукоделие
И
Искусство-и-развлечения
В
Взаимоотношения
З
Здоровье
К
Кулинария-и-гостеприимство
Ф
Финансы-и-бизнес
П
Питомцы-и-животные
О
Образование
О
Образование-и-коммуникации
venyast56oxem2g
venyast56oxem2g
14.04.2023 08:12 •  Математика

Вычислите: а) 8 + 4 5/7 б) 8 - 4 5/7 в) 4 5/7 - 8 г) -4 5/7 - 8 д) - 4 5/7 + 8 е) -8 + 4 5/7 4 5/7 - четыре целых пять

👇
Ответ:
anonimno3
anonimno3
14.04.2023
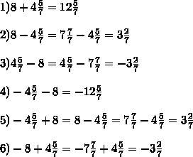
А) = 12 5/7;
б) = 7 7/7 - 4 5/7 = 3 2/7;
в) = - (8 - 4 5/7) = - 3 2/7;
г) = - (4 5/7 + 8) = - 12 5/7;
д) = 8 - 4 5/7 = 3 2/7;
е) = - (8 - 4 5/7) = - 3 2/7;
4,5(44 оценок)
Ответ:
daniktsarev
daniktsarev
14.04.2023
С 1 по 6.  Всё на картине. →→
Вычислите: а) 8 + 4 5/7 б) 8 - 4 5/7 в) 4 5/7 - 8 г) -4 5/7 - 8 д) - 4 5/7 + 8 е) -8 + 4 5/7 4 5/7 -
4,4(80 оценок)
Открыть все ответы
Ответ:
Дима2005Dima
Дима2005Dima
14.04.2023

Пошаговое объяснение:

1 мин = 60 с

а) составим пропорцию

6 с - 3 л

60 с - х л

х=(60*3):6= 30 л

за 1 мин родник даст 30 л воды

б)

5 мин = 5 *60 = 300 с

6с - 3 л

300 с - х л

х= ( 300*3 ):6 = 150 л

за 5 мин родник даст 150 л

или можно так

5 мин это

5: 1= 5

в 5 раз больше чем 1 мин., значит

родник даст воды 30* 5= 150 л

в)

10 мин = 10 * 60 = 600 с

6 с - 3 л

600 с- х л

х= ( 600 *3) : 6 = 300 л

за 10 мин родник даст 300 л

или так

10 мин это

10 : 1 = 10

в 10 раз больше чем 1 мин , значит родник даст воды :

10* 30= 300 л

4,5(21 оценок)
Ответ:
damirsemenov2
damirsemenov2
14.04.2023

Пояснение:

Порядок действий при вычислениях:

• (1*) - Возведение числа в степень;

• (2) - Вычисления в скобках (или раскрытие скобок);

• (3) - Умножение / деление (соблюдая порядок слева на право);

• (4) - Сложение / вычитание (соблюдая порядок слева на право).

Решение (1):

Из пояснения следует, что последним действием в выражении

(38 + 0 ÷ 1) × 18 - 78

нужно выполнить вычитание.

Решение (2):

(38 + 0 ÷ 1) × 18 - 78 = ?

     ²      ¹     ³      ⁴

1) 0 ÷ 1 = 0;

2) 38 + 0 = 38;

3) 38 × 18 = 684;

4) 684 - 78 = 606.

ответ: 1) последним нужно выполнять действие вычитание (4); 2) 606.

Удачи Вам! :)

           

4,7(36 оценок)
Это интересно:
Новые ответы от MOGZ: Математика
logo
Вход Регистрация
Что ты хочешь узнать?
Спроси Mozg
Открыть лучший ответ