М
Молодежь
К
Компьютеры-и-электроника
Д
Дом-и-сад
С
Стиль-и-уход-за-собой
П
Праздники-и-традиции
Т
Транспорт
П
Путешествия
С
Семейная-жизнь
Ф
Философия-и-религия
Б
Без категории
М
Мир-работы
Х
Хобби-и-рукоделие
И
Искусство-и-развлечения
В
Взаимоотношения
З
Здоровье
К
Кулинария-и-гостеприимство
Ф
Финансы-и-бизнес
П
Питомцы-и-животные
О
Образование
О
Образование-и-коммуникации
Vinyl98
Vinyl98
03.05.2020 17:49 •  Математика

Студент получил стипендию 1000 рублей купюрами достоинством 100 и 50 рублей. всего в руках оказалось 13 купюр. сколько было выдано купюр в отдельности?

👇
Ответ:
dimasik337
dimasik337
03.05.2020
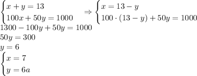
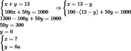
\begin{cases}x+y=13\\100x+50y=1000\end{cases}\Rightarrow\begin{cases}x=13-y\\100\cdot(13-y)+50y=1000\end{cases}\\1300-100y+50y=1000\\50y=300\\y=6\\\begin{cases}x=7\\y=6a\end{cases}
4,4(37 оценок)
Ответ:
Быстрееее
Быстрееее
03.05.2020
7 купюр по 100
6 по 50
7*100=700
6*50=300
700+300=1000

Студент получил стипендию 1000 рублей купюрами достоинством 100 и 50 рублей. всего в руках оказалось
4,6(6 оценок)
Открыть все ответы
Ответ:
nikkun80
nikkun80
03.05.2020
1) 680 : 100 * 35 = 238 кг овощей продали в первый день;
2) 680 : 100 * 25 = 170 кг овощей продали во второй день;
3) 238 + 170 = 408 кг овощей продали за два дня;
4) 680 - 408 = 272 кг овощей продали в третий день.


1) 35% + 25% = 60% овощей продали за два дня;
2) 680 : 100 * 60 = 408 кг овощей продали за два дня;
3) 680 - 408 = 272 кг овощей продали в третий день.


100% - все овощи (680 кг)
1) 100% - (35% + 25%) = 100% - 60% = 40% овощей продали в третий день;
2) 680 : 100 * 40 = 272 кг овощей продали в третий день. 
ответ: 272 кг.
 
4,7(83 оценок)
Ответ:
Найдем общее количество трехзначных чисел, которые можно составить из четырех данных цифр:
                                               A_{n}^{k}= \frac{n!}{(n-k)!}

Тогда: A_{4}^{3}= \frac{4!}{(4-3)!}= \frac{2*3*4}{1}=24

Так как из данных четырех цифр нечетными являются только 2, то количество нечетных трехзначных чисел равно половине общего количества трехзначных чисел.

Тогда: N = 24 : 2 = 12
 
Ну, и в качестве проверки:     275   725  265  625  765  675
                                                     257   527  267  627  567  657

ответ: 12 чисел.                                             
4,8(33 оценок)
Новые ответы от MOGZ: Математика
logo
Вход Регистрация
Что ты хочешь узнать?
Спроси Mozg
Открыть лучший ответ