М
Молодежь
К
Компьютеры-и-электроника
Д
Дом-и-сад
С
Стиль-и-уход-за-собой
П
Праздники-и-традиции
Т
Транспорт
П
Путешествия
С
Семейная-жизнь
Ф
Философия-и-религия
Б
Без категории
М
Мир-работы
Х
Хобби-и-рукоделие
И
Искусство-и-развлечения
В
Взаимоотношения
З
Здоровье
К
Кулинария-и-гостеприимство
Ф
Финансы-и-бизнес
П
Питомцы-и-животные
О
Образование
О
Образование-и-коммуникации
zzzzzzz555555
zzzzzzz555555
16.08.2021 06:13 •  Математика

3,8•1,5= 4,2•(-0,8)= -1 целая 1/14•(-2 целых 1/3)=(это дробь

👇
Ответ:
тыпик
тыпик
16.08.2021
-3,8•1,5=−5,7
4,2•(-0,8)=−3,36
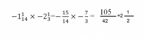
-1 целая 1/14•(-2 целых 1/3):
переводим в неправильную дробь и получится -15/14(дробь) • -7/3(дробь) и вот:
3,8•1,5= 4,2•(-0,8)= -1 целая 1/14•(-2 целых 1/3)=(это дробь
4,5(80 оценок)
Открыть все ответы
Ответ:
stazagreen
stazagreen
16.08.2021
Подходя к подъезду, смотри по сторонам. Заметил подозрительных личностей — будь наготове. Поздно вечером сомнительная компания перекрывает вход в подъезд — возможно, есть смысл зайти в магазин, подождать, пока уйдут. Или хотя бы позвонить домашним, предупредить: мол, сейчас приду, встречайте. Есть оружие — подготовь. И не забывай о простых правилах.

1. Подъезд не должен быть темным. Исправно плати консьержке, сообщай о перегоревших лампочках, устанавливай собственное освещение у себя перед дверью, ставь систему наблюдения, знай в лицо всех жильцов, здоровайся.

2. Подошел к двери подъезда, осмотрелся. Если кто за тобой проскакивает — не оставляй без внимания, хотя бы пропусти вперед.

3. Вошел, почувствовал неладное — притормози на пару секунд. Используй секретный прием, называется «разведчик слушает тишину»: приложи ладони к ушам и приоткрой рот — так лучше слышно. Если кто-то ждет тебя с неприятными намерениями, велик шанс, что он себя выдаст.

4. Если на своем этаже слышишь странные звуки, сопение подозрительных личностей — возвращайся в лифт и езжай выше. Обороняться сверху будет проще, чем снизу. Но убежать будет сложнее, учти.
4,8(76 оценок)
Ответ:
Adelka715
Adelka715
16.08.2021
А) 1 1/4 - 1/3 = 1 3/12 - 4/12 = 15/12 - 4/12 = 11/12
Общий знаменатель 12
12 : 4 = 3 - доп.множ. к 1/4 = (1*3)/(4*3) = 3/12
12 : 3 = 4 - доп.множ. к 1/3 = (1*4)/(3*4) = 4/12

Б) 1 1/3 - 5/6 = 1 2/6 - 5/6 = 8/6 - 5/6 = 3/6 = 1/2
Общий знаменатель 6
6 : 3 = 2 - доп.множ. к 1/3 = (1*2)/(3*2) = 2/6
3/6 = 1/2 - сократили на 3

В) 3 1/8 - 1/6 = 3 3/24 - 4/24 = 2 27/24 - 4/24 = 2 23/24
Общий знаменатель 24
24 : 8 = 3 - доп.множ. к 1/8 = (1*3)/(8*3) = 3/24
24 : 6 = 4 - доп.множ. к 1/6 = (1*4)/(6*4) = 4/24

Г) 13 1/24 - 1 11/16 = 13 2/48 - 1 33/48 = 12 50/48 - 1 33/48 = 11 17/48
Общий знаменатель 48
48 : 24 = 2 - доп.множ. к 1/24 = (1*2)/(24*2) = 2/48
48 : 16 = 3 - доп.множ. к 11/16 = (11*3)/(16*3) = 33/48

Д) 13 1/8 - 10 3/16 = 13 2/16 - 10 3/16 = 12 18/16 - 10 3/16 = 2 15/16
Общий знаменатель 16
16 : 8 = 2 - доп.множ. к 1/8 = (1*2)/(8*2) = 2/16

Е) 16 2/25 - 12 2/15 = 16 6/75 - 12 10/75 = 15 81/75 - 12 10/75 = 3 71/75
Общий знаменатель 75
75 : 25 = 3 - доп.множ. к 2/25 = (2*3)/(25*3) = 6/75
75 : 15 = 5 - доп.множ. к 2/15 = (2*5)/(15*5) = 10/75 
4,4(98 оценок)
Это интересно:
Новые ответы от MOGZ: Математика
logo
Вход Регистрация
Что ты хочешь узнать?
Спроси Mozg
Открыть лучший ответ