М
Молодежь
К
Компьютеры-и-электроника
Д
Дом-и-сад
С
Стиль-и-уход-за-собой
П
Праздники-и-традиции
Т
Транспорт
П
Путешествия
С
Семейная-жизнь
Ф
Философия-и-религия
Б
Без категории
М
Мир-работы
Х
Хобби-и-рукоделие
И
Искусство-и-развлечения
В
Взаимоотношения
З
Здоровье
К
Кулинария-и-гостеприимство
Ф
Финансы-и-бизнес
П
Питомцы-и-животные
О
Образование
О
Образование-и-коммуникации
McShram1111
McShram1111
13.09.2022 04:55 •  Математика

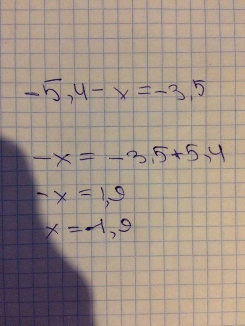
Как решить –5,4–×=–3,5 голава не варит.

👇
Ответ:
simalivevl
simalivevl
13.09.2022
Если я ничего не путаю, то получается -1,9
Как решить –5,4–×=–3,5 голава не варит.
4,8(69 оценок)
Ответ:
Kosmen21
Kosmen21
13.09.2022
X= -5.4 -- -3.5
X=1.9
4,4(2 оценок)
Открыть все ответы
Ответ:
korolevandrej48
korolevandrej48
13.09.2022
Обозначим точку касания на стороне LM буквой С, а отрезок КВ = х.
По свойству вписанной окружности:
KB = KA = x,
BM = CM = 5,
AL = CL = 10.
Отсюда имеем сторону LM = 15.
По теореме косинусов:
cos K = (x+10)²+(x+5)²-15²/(2*(x+10)(x+5) = 1/26 (по заданию).
После раскрытия скобок, приведения подобных и сокращения получаем квадратное уравнение: х²+15х-54 = 0.
Квадратное уравнение, решаем относительно x: Ищем дискриминант:
D=15^2-4*1*(-54)=225-4*(-54)=225-(-4*54)=225-(-216)=225+216=441;Дискриминант больше 0, уравнение имеет 2 корня:
x_1=(√441-15)/(2*1)=(21-15)/2=6/2=3;x_2=(-√441-15)/(2*1)=(-21-15)/2=-36/2=-18. этот корень отбрасываем.

Теперь известны все стороны треугольника:
 KL = 13, LM = 15, KM = 8.
Mожно найти заданный косинус угла LMK.
cos LMK = (15²+8²-13²)/(2*15*8) = (225+64-169)/240 = 120/240 = 1/2.
Угол LMK равен arc cos(1/2) = 60°.
4,5(3 оценок)
Ответ:
sabin200089
sabin200089
13.09.2022
1 коробка - х карандашей
2 коробка - х+5 карандашей
Всего - 27 карандашей
Составляем уравнение, нам нужно первую коробку и вторую коробку сложить и получится 27 карандашей, получается:
х+х+5=27
2х+5=27
2х=27-5
2х=22
х=22:2
х=11 карандашей в первой коробке
В первой, потому что мы за х, брали именно первую коробку. Что бы найти сколько карандашей во второй коробке, посмотрим на условие, там сказано, что во второй х+5, значит нам нужно к карандашам первой коробки прибавить ещё 5 карандашей.
11+5=16 карандашей во второй коробке. Проверка: 11+16=27
ответ: В 1 коробке-11 карандашей, во 2 коробке-16 карандашей.
4,4(37 оценок)
Это интересно:
Новые ответы от MOGZ: Математика
logo
Вход Регистрация
Что ты хочешь узнать?
Спроси Mozg
Открыть лучший ответ