Вход
Регистрация
Спроси Mozg AI
М
Молодежь
К
Компьютеры-и-электроника
Д
Дом-и-сад
С
Стиль-и-уход-за-собой
П
Праздники-и-традиции
Т
Транспорт
П
Путешествия
С
Семейная-жизнь
Ф
Философия-и-религия
Б
Без категории
М
Мир-работы
Х
Хобби-и-рукоделие
И
Искусство-и-развлечения
В
Взаимоотношения
З
Здоровье
К
Кулинария-и-гостеприимство
Ф
Финансы-и-бизнес
П
Питомцы-и-животные
О
Образование
О
Образование-и-коммуникации
.....больше.....
..меньше..
XXX231xxx
11.11.2022 01:06 •
Математика
Один из лыжников дистанцию в 20 км проходит на 20 минут быстрее другого найдите скорость каждого лыжника если скорость одного из них на 2 км/ч больше скорости другого
👇
Увидеть ответ
Ответ:
mrprogemir
11.11.2022
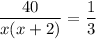
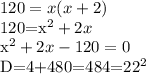
путь скорость время
1 лыжник 20 км х км/час
2 лыжник 20 км х+2 км/час на 20 мин меньше
Время первого лыжника 20/х час
Время второго лыжника 20/(х+2) час
20 минут это 20/60= 2/6=1/3 час
составим уравнение
Скорость отрицательной быть не может
Значит скорость одного лыжника 10 км/час
Скорость второго лыжника 10+2=12 км/час
4,4
(90 оценок)
Открыть все ответы
Ответ:
ksenchernova
11.11.2022
Выписал от 1 до 20.
1234567891011121314151617181920
Стереть нужно так, чтобы на первом месте 9 было, а дальше наибольшие цифры смотрим на второе место слева после 9
Стираем восемь первых цифр до 9;
91011121314151617181920
Надо после 9 первой ещё 6 знаков записать, чтобы семизначное было, начинаем с 9 проверять.
После 9 второй два знака. После 8 четыре, это мало знаков,
после 7 шесть знаков, их хватит для числа семизначного
Выписываем восьмизначное
9 7181920
С оставшихся убираем первую 1
Наибольшее 9781920 ответ
4,5
(46 оценок)
Ответ:
Лиза13061
11.11.2022
Выписал от 1 до 20.
1234567891011121314151617181920
Стереть нужно так, чтобы на первом месте 9 было, а дальше наибольшие цифры смотрим на второе место слева после 9
Стираем восемь первых цифр до 9;
91011121314151617181920
Надо после 9 первой ещё 6 знаков записать, чтобы семизначное было, начинаем с 9 проверять.
После 9 второй два знака. После 8 четыре, это мало знаков,
после 7 шесть знаков, их хватит для числа семизначного
Выписываем восьмизначное
9 7181920
С оставшихся убираем первую 1
9781920 ответ
4,8
(41 оценок)
Это интересно:
М
Мир-работы
11.09.2020
Методы эффективной работы в многозадачном режиме...
П
Праздники-и-традиции
31.12.2021
Как стать настоящей тусовщицей: секреты общения и завоевания новых знакомств...
27.06.2021
Как заставить людей в школе считать, что вы русалка?...
О
Образование-и-коммуникации
06.10.2021
Как решать кубические уравнения: подробное руководство...
Х
Хобби-и-рукоделие
06.04.2022
Как разгладить мятую бумагу: простые методы и советы...
К
Кулинария-и-гостеприимство
16.11.2022
Как собрать идеальный пляжный обед?...
З
Здоровье
27.09.2022
5 простых советов по уходу за зубными протезами...
17.12.2021
Секреты экономии денег для студентов...
К
Компьютеры-и-электроника
12.10.2021
Как присоединить разъем коаксиального кабеля...
К
Компьютеры-и-электроника
13.03.2023
5 легких способов очистить сенсорный экран...
Новые ответы от MOGZ: Математика
leka777166
27.03.2022
Сумма цифр двоцифрового числа 14.коли ці цифри поміняли місцями,одержали число,яке на 36 менше від початкового.найди ці числа....
lerak1301
27.03.2022
Решить пример. распределительный закон умножения (-45,8+15,8)•2,3...
vladlukyanov1
27.03.2022
Дробь к другим числитялим если это возможно 7/8 42/? 21 /? 48/? 23/? 30...
Aarna
27.03.2022
Всосуде было 12л 500мл воды .если в сосуд добавить в 3 раза больше этого воды то сосуд полнустью наполниться .сколько литров вмещает этот сосуд?...
isaevshamil0535
27.03.2022
Маша записала не доске числа от 1 до 2017. сколько цифр она использовала?...
найлешка
27.03.2022
(9 целых двенадцать двадцать пятых - 8 целых шестнадцать двадцать пятых) + 4 целых семнадцать двадцать пятых = ?...
Daniil199511
27.03.2022
Запишите в виде десятичных дробей смешанные числа: 2целых5/8; 1целых6/125; 3целых17/200; 8целых9/250; 7целых3/500; 6целых7/8....
Runet13
27.03.2022
1) 1/6х+3/18=4/5х-1/9 2) 3/7х-2/3=5/21х-7/27...
vo10
27.03.2022
1вокруг школы учащиеся посадили шиповник и ели - всего 540 штук. при этом шиповника было в 2 раза больше, чем елей сколько посадили растений каждого вида? 2 решите и арифметическими...
nelia3232
27.03.2022
Какого попугая завести волнистого или неразлучника...
MOGZ ответил
Цепь питания ястреба клеща ели и белки...
Пнревести на жұмбақ өленді тындап,шешуін тап...
На какие материки тропические леса были в основном уничтожены...
Спиши, раскрыв скобки, изменяя окончания слов. выдели окончания. придумай...
Взаписи 44444444поставте между некоторыми цифрами + так . чтобы получилось...
Вчетырёх одинаковых бидонах 20 л молока. сколько молока в трёх таких бидонах?...
Надо скорость гончива автомобиля в момент начала разгона 10м/с,ускорение...
Вычтите сумму чисел328 и 532 из числа 100, вычтите произведение чисел...
Перевод на : мой отец самый старший в семье. его сумка больше чем моя...
Прокоментуйте вислів «світ завжди ловить душі в тенета пристосуванства»....
Полный доступ к MOGZ
Живи умнее Безлимитный доступ к MOGZ
Оформи подписку
О НАС
О нас
Блог
Условия пользования
Авторское право
Политика конфиденциальности
Предпочтения cookie-файлов
ПОМОЩЬ
Зарегистрируйся
Центр помощи
Центр безопасности
App
Вход
Регистрация
Что ты хочешь узнать?
Спроси Mozg
Открыть лучший ответ
1 лыжник 20 км х км/час
2 лыжник 20 км х+2 км/час на 20 мин меньше
Время первого лыжника 20/х час
Время второго лыжника 20/(х+2) час
20 минут это 20/60= 2/6=1/3 час
составим уравнение
Скорость отрицательной быть не может
Значит скорость одного лыжника 10 км/час
Скорость второго лыжника 10+2=12 км/час