М
Молодежь
К
Компьютеры-и-электроника
Д
Дом-и-сад
С
Стиль-и-уход-за-собой
П
Праздники-и-традиции
Т
Транспорт
П
Путешествия
С
Семейная-жизнь
Ф
Философия-и-религия
Б
Без категории
М
Мир-работы
Х
Хобби-и-рукоделие
И
Искусство-и-развлечения
В
Взаимоотношения
З
Здоровье
К
Кулинария-и-гостеприимство
Ф
Финансы-и-бизнес
П
Питомцы-и-животные
О
Образование
О
Образование-и-коммуникации
Shilork
Shilork
02.07.2021 01:42 •  Математика

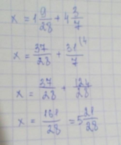
Как решить уравнение икс -4 целых три седьмых равно одна целая девять двадцать восьмых

👇
Ответ:
mischkulentsov
mischkulentsov
02.07.2021
Решение вроде такое.
Как решить уравнение икс -4 целых три седьмых равно одна целая девять двадцать восьмых
4,6(84 оценок)
Открыть все ответы
Ответ:
EGORchikchik228
EGORchikchik228
02.07.2021

В 16 веке был популярен такой стиль архитектуры, как архитектура Возрождения — время развития архитектуры в европейских странах с начала XV до начала XVII века, в общем течении Эпоха Возрождения и развития основ духовной и материальной культуры Древней Греции и Рима. Этот период является переломным моментом в истории архитектуры. Основные черты: симметрия, пропорция, геометрия и порядок составных частей. Сложная пропорция средневековых зданий сменяется упорядоченным расположением колонн, пилястр и притолок. В 16 веке выделяют "Высокое Возрождение".

Памятники архитектуры: Галерея Уффици,

Крыло Луврского дворца (старейшая сохранившаяся часть здания, построенная Пьером Леско в середине XVI века), Фарнезинская вилла и другие.

Представители: Донато Браманте, Рафаэль Санти, Антонио да Сангалло, Якопо Татти Сансовино, Андреа Палладио и другие.

4,6(63 оценок)
Ответ:
gorodo
gorodo
02.07.2021
Після того, як Чарлі став спадкоємцем Віллі Вонки, а решта дітей-учасників конкурсу отримали пожиттєві запаси шоколаду, здавалось, що нічого надзвичайного вже не відбуватиметься...
Та, звісно, всі помилялися.
Одного дня Чарлі зник. Ніде не було і самого Віллі Вонки. Місцеві мешканці одразу ж запанікували. Спокійними залишалися тільки співробітники фабрики.
Коли пройшов цілий місяць, виявилося, що Чарлі з містером Вонкою літали за кордон і відкрили 6 нових фабрик, замість пустуючих, та колись популярних "Крошен".
Директорами фабрик стали колишні учасники конкурсу. Діти були у захваті, бо їм дозволили взяти з собою свої родини.
4,5(4 оценок)
Это интересно:
Новые ответы от MOGZ: Математика
logo
Вход Регистрация
Что ты хочешь узнать?
Спроси Mozg
Открыть лучший ответ