М
Молодежь
К
Компьютеры-и-электроника
Д
Дом-и-сад
С
Стиль-и-уход-за-собой
П
Праздники-и-традиции
Т
Транспорт
П
Путешествия
С
Семейная-жизнь
Ф
Философия-и-религия
Б
Без категории
М
Мир-работы
Х
Хобби-и-рукоделие
И
Искусство-и-развлечения
В
Взаимоотношения
З
Здоровье
К
Кулинария-и-гостеприимство
Ф
Финансы-и-бизнес
П
Питомцы-и-животные
О
Образование
О
Образование-и-коммуникации

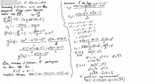
Найдите все значения a, при каждом из которых неравенств x^2-a^2 (a+1) x+a^5< 0 имеет решения и множество решений неравенства содержится в интервале (-9; 4). (90 )

👇
Ответ:
не получилось. Но решилось все-таки
Найдите все значения a, при каждом из которых неравенств x^2-a^2 (a+1) x+a^5< 0 имеет решения и м
4,5(52 оценок)
Открыть все ответы
Ответ:
89681355832
89681355832
28.07.2021
1. Хороший класс - это когда один за всех и все за одного.
2. Хороший класс - это когда никто не ссорится.
3. Хороший класс - это когда хорошие отношения между учениками.
4. Хороший класс - это когда тебя не предадут.
5. Хороший класс - это когда все между собой равны.
6. Хороший класс - это когда все дети вместе ходят домой.
7. Хороший класс - это когда смешно на уроках.
8. Хороший класс - это когда тебя поймут и поддержат.
9. Хороший класс - это когда дети разделят твоё горе и радость.
10. Хороший класс - это вторая семья.
4,7(17 оценок)
Ответ:
Alidisa1202
Alidisa1202
28.07.2021
Смотрим слова, во всех по 7 букв;
как и в числах все по 7 цифр; первая буквы разные, вторая буква А и Е, три А, смотрим в числах вторую цифру; 5; 5; 3; 5; значит Если три раза 5, тогда это А; и одна 3, тогда Е=3.

Пишем внизу в табличку Под 3 букву Е, под 5 букву А;

Теперь смотрим последние буквы слов, там тоже три А и одна К; А=5 нашли, значит смотрим последние цифры чисел; 5;5;5 и 1; тогда К=1;

под 1 в табличку пишем К; теперь можно записать что нашли, заменяем везде цифры 5 на А ; 3 на Е и 1 на К;

0525915= 0А2А9КА;
2513815= 2АКЕ8КА;
8323741= 8Е2Е74К;
1528695= 1А2869А;

Смотрим у нас только одно слово заканчивается на К, значит 8323741= теремок.

Дописываем в табличку буквы вместо цифр из слова теремок. Остаётся найти 6,,9 и 0. Пишем в другие числа все буквы, что уже нашли.

2513815=2АКЕТКА; тут 4 буква Е, 5-Т,уже теремок нашли, значит это Ракетка, пишем 2513815= РАКЕТКА.

Остались два числа, слова баранка и картина. Заменяем числа на буквы. 1528695=КАРТ69А, первая К, слово Картина,
осталась баранка =0525915. Дописываем буквы в табличку 6;9 и 0.

8323741= ТЕРЕМОК.

2513815= РАКЕТКА.

0525915= БАРАНКА.

1528695= КАРТИНА.

Код табличка.
1_ 2_ 3_ 4_ 5_ 6_ 7_ 8_ 9_ 0_.
К_ Р_ Е_ О_А_И_М_Т_ Н_ Б_.
4,4(60 оценок)
Новые ответы от MOGZ: Математика
logo
Вход Регистрация
Что ты хочешь узнать?
Спроси Mozg
Открыть лучший ответ