М
Молодежь
К
Компьютеры-и-электроника
Д
Дом-и-сад
С
Стиль-и-уход-за-собой
П
Праздники-и-традиции
Т
Транспорт
П
Путешествия
С
Семейная-жизнь
Ф
Философия-и-религия
Б
Без категории
М
Мир-работы
Х
Хобби-и-рукоделие
И
Искусство-и-развлечения
В
Взаимоотношения
З
Здоровье
К
Кулинария-и-гостеприимство
Ф
Финансы-и-бизнес
П
Питомцы-и-животные
О
Образование
О
Образование-и-коммуникации
Celebrat
Celebrat
09.02.2021 13:34 •  Математика

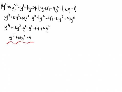
(y^2+4y)^2-y^2-(y-2)(y+2)-4y^2(2y-1)=?

👇
Ответ:
Viktyfox17
Viktyfox17
09.02.2021
(y^2+4y)^2-y^2-(y-2)(y+2)-4y^2(2y-1)=?
4,6(41 оценок)
Открыть все ответы
Ответ:
vipaldybaeva
vipaldybaeva
09.02.2021

Всю работу примем за 1. Пусть первый рабочий может выполнить всю работу за х часов, тогда второй рабочий (исходя из того, что первый на 5 часов быстрее работает) выполнит всю работу за (х + 5) часов. За 1 час первый рабочий выполнит 1/х работы, а второй за 1 час выполнит 1/(х + 5). Тогда работая вместе они выполняют за 1 час:

1/х + 1/(х + 5) = (х + 5 + х)/(х * (х + 5)) = (2 *х + 5)/(х^2 +5 * х) работы.

Всю работу оба рабочих работая вместе выполнят за 6 часов, то есть

1 : (2 *х + 5)/(х^2 +5 * х) = 6;

1 * (х^2 +5 * х)/(2 *х + 5) = 6; получим уравнение

х^2 + 5*x = 12 * x + 30;

x^2 - 7 * x - 30 = 0;

D = 49 + 120 = 169;

x1 = -3 - не подходит по условию задачи, так как время не может быть отрицательным.

х2 = 10 (часов) - время, за которое первый рабочий сделает всю работу сам.

Тогда второй рабочий выполнит работу за 10 + 5 = 15 часов.

ответ: 10 часов и 15 часов.

Пошаговое объяснение:

4,6(19 оценок)
Ответ:
kabirova2356
kabirova2356
09.02.2021

номер1

Пошаговое объяснение:

а)0 б)2 в)22 г)-18 д)7 е)-18 ж)18 з)-1

номер2

45+(-37)=8

-27+(-37)=-64

100+(-37)=63

номер3

а),б),в)

номер4

а)-134+156>-256+145

б)-76+(-108)<-58+(-135)

в)266+(-73)=-52+245

номер5

а)-520+600>0

б)-300+260<0

в)14+(-11)>0

г)-7+15=8

д)56+(-72)<10

е)-29+(-44)<-67

номер6

а)450+340=790

б)235+(-120)=115

в)-720+140=-580

г)-635+(-100)=-735

д)-450+340=-110

е)-235+(-120)=-355

ж)720+(-140)=580

з)-635+100=535

и)-450+(-340)=-790

к)-235+120=-115

л)720+140=960

м)635+(-100)=535

н)450+(-340)=110

о)235+120=355

п)-720+(-140)=-860

р)635+100=735

номер7

а)х-18=-25

х=-25+18

х=-7

ответ:7

б)4х-15=-12

4х=-12+15

4х=3

в)3х-35=-10

3х=-10+35

3х=25

х=8,3

номер9

а)-15+17+(-51)+93+(-78)=-34

б)45+(-13)+(-384)+15+(-492)=-507

в)47+(-8)+(-23)+(-9)+(-17)+23+34=-31

номер10

а)-48+(-212)+(-756))=-1016

б)(-57)+(-148))+(-505)=-707

в)(345+(-266))+(-75)=4

4,5(96 оценок)
Новые ответы от MOGZ: Математика
logo
Вход Регистрация
Что ты хочешь узнать?
Спроси Mozg
Открыть лучший ответ