М
Молодежь
К
Компьютеры-и-электроника
Д
Дом-и-сад
С
Стиль-и-уход-за-собой
П
Праздники-и-традиции
Т
Транспорт
П
Путешествия
С
Семейная-жизнь
Ф
Философия-и-религия
Б
Без категории
М
Мир-работы
Х
Хобби-и-рукоделие
И
Искусство-и-развлечения
В
Взаимоотношения
З
Здоровье
К
Кулинария-и-гостеприимство
Ф
Финансы-и-бизнес
П
Питомцы-и-животные
О
Образование
О
Образование-и-коммуникации
f79gkr4st
f79gkr4st
14.07.2021 06:54 •  Математика

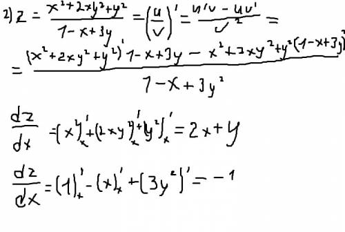
1)значение ф-ции двух переменных f(x,y)=arctg(1/3x*(корень3/y) 2)значение частной производной dz/dx z=(x^2+2xy+y^2)/(1-x+3y)

👇
Ответ:
Denis2008111
Denis2008111
14.07.2021
Если чего непонятно, спрашивай!

1)значение ф-ции двух переменных f(x,y)=arctg(1/3x*(корень3/y) 2)значение частной производной dz/dx
4,4(56 оценок)
Открыть все ответы
Ответ:
Shimkent
Shimkent
14.07.2021
Два неизвестных и пишем два уравнения.
1)  Х*30% + У*70% = (Х+У)*40% - состав нового сплава. 
2) Х+У= 120 кг - вес нового сплава
Выражаем У из 2)
3)  У = 120-Х - подставляем в уравнение 1)
4) 0,3*Х+0,7*(120-Х) = 0,4*Х+ 0,4*(120-Х)
Раскрываем скобки и упрощаем
5)  0,3*Х + 84 - 0,7*Х = 0,4*Х+48-0,4*Х
-0,4*Х = 48-84= -36
ОТВЕТ:
Х = 90 кг - сплава 30%
У = 120-90=30 кг - сплава 70%
Проверка
90 кг *30% = 27 кг меди в первой отливке, добавим 30 кг*70% = 21 кг меди во второй получим всего 48 кг меди в отливке весом 120 кг.
Проверяем состав сплава  - 48/120 = 0,4 = 40%. - по условию задачи.
4,4(87 оценок)
Ответ:
KÆTÉ
KÆTÉ
14.07.2021
Золотое правило нравственности - общее этическое правило, которое можно перевести, как "Относись к людям так, как ты хочешь, чтобы относились к тебе", или "Не делай другим того, чего желаешь себе".
В христианстве:В Новом Завете это правило неоднократно повторяется в словах Иисуса Христа:"Итак во всем, как хотите, чтобы с вами поступали люди, так поступайте и вы с ними, ибо в этом закон и пороки"В иудизме:В Пятикнижии: "Возлюби ближнего твоего, как самого себя".В исламе:В Коране золотое правило не встречается, однако найдено одно из изречений Мухаммеда: "Делайте всем людям то, что вы бы желали, чтобы вам делали люди,  и не делайте другим того, чего не желаете себе".
4,6(89 оценок)
Новые ответы от MOGZ: Математика
logo
Вход Регистрация
Что ты хочешь узнать?
Спроси Mozg
Открыть лучший ответ