М
Молодежь
К
Компьютеры-и-электроника
Д
Дом-и-сад
С
Стиль-и-уход-за-собой
П
Праздники-и-традиции
Т
Транспорт
П
Путешествия
С
Семейная-жизнь
Ф
Философия-и-религия
Б
Без категории
М
Мир-работы
Х
Хобби-и-рукоделие
И
Искусство-и-развлечения
В
Взаимоотношения
З
Здоровье
К
Кулинария-и-гостеприимство
Ф
Финансы-и-бизнес
П
Питомцы-и-животные
О
Образование
О
Образование-и-коммуникации
Лuзуня
Лuзуня
10.03.2021 04:50 •  Математика

Суравнением дробь [80 сверху," х" внизу] 15\х - дробь [15 сверху," х" внизу] * - умножение я сильно запуталась в этом уравнении мне (

👇
Ответ:
gunelmustafaeva
gunelmustafaeva
10.03.2021
Надеюсь,понятно написано
Суравнением дробь [80 сверху, х внизу] 15\х - дробь [15 сверху, х внизу] * - умножение я сильно
4,4(55 оценок)
Ответ:
Glek11
Glek11
10.03.2021
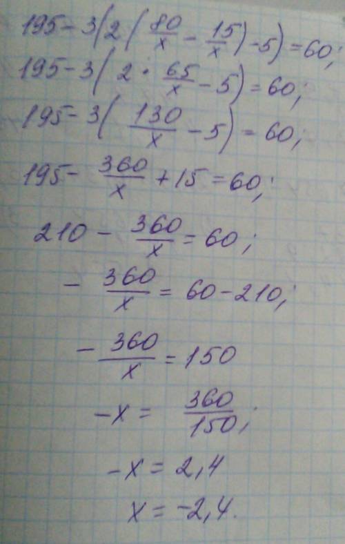
• 195-3*(2*(80/ x-15/x)-5) = 60

1. 195-3(2*(80-15)/x)-5) = 60
2. 195-3(2*65/x-5) = 60
3. 195-3(130/x-5) = 60
4. 195-3*(130-5x)/x = 60
5. 195-(3*(130-5x)/x) = 60
6. 195-(390-15x)/x = 60
7. -(390-15x)/x = 60-195
8. -(390-15x)/x = -135
9. -(390-15x) = -135x
10. -390+15x = -135x
11. 15x+135x = 390
12. 150x = 390
13. x = 390/150
14. x = (13/5) = 2(3/5) ≈ 2.6

DG_Janja
4,4(33 оценок)
Открыть все ответы
Ответ:
odyvanchik22
odyvanchik22
10.03.2021

Пошаговое объяснение:

1. Когда могут возникнуть дробные числа?

Дробные числа возникают когда предмет ( яблоко , торт , лист бумаги) или единицу измерения ( метр , час , килограмм ) делят на несколько равных частей

2.Каким образом записывают обыкновенные дроби?

Обыкновенные дроби записывают с двух натуральных чисел и черты дроби

3.Как называют число, записанное над чертой дроби?Под чертой дроби?

Число записанное над чертой дроби называется числитель , а под чертой дроби – знаменатель

4.Что показывает знаменатель дроби?Числитель дроби?

Знаменатель показывает на сколько частей что-то разделили, а числитель показывает , сколько таких частей взяли.

4,6(26 оценок)
Ответ:
dmitryparshin
dmitryparshin
10.03.2021
А) Чтобы число делилось на 2, надо, чтобы оно было чётным. х  и  у  любые чётные, например 1)  (2; 2)
17·2 - 9·2 = 34 - 18 = 16;
                                2)  (6; 2)
17·6 - 9·2 = 102 - 18 =84;
б) Чтобы число делилось на 5, надо, чтобы оно оканчивалось на 5 или на 0 
                               1) (0; 5)
17·0 - 9· 5 = - 45;
                                2)( 5;  5)
17·5 - 9· 5 = 85 - 45 = 40;
в) Чтобы число делилось на 10, надо, чтобы оно оканчивалось нулём.
( 17х  и  9у    должны оканчиваться одинаковыми цифрами)
                    Например 1) (6; 8)
17·6  - 9·8 = 102 - 72 = 30
                                       2) (10; 20)
17·10 - 9·10 = 170 - 90 = 80.
4,5(84 оценок)
Это интересно:
Новые ответы от MOGZ: Математика
logo
Вход Регистрация
Что ты хочешь узнать?
Спроси Mozg
Открыть лучший ответ