М
Молодежь
К
Компьютеры-и-электроника
Д
Дом-и-сад
С
Стиль-и-уход-за-собой
П
Праздники-и-традиции
Т
Транспорт
П
Путешествия
С
Семейная-жизнь
Ф
Философия-и-религия
Б
Без категории
М
Мир-работы
Х
Хобби-и-рукоделие
И
Искусство-и-развлечения
В
Взаимоотношения
З
Здоровье
К
Кулинария-и-гостеприимство
Ф
Финансы-и-бизнес
П
Питомцы-и-животные
О
Образование
О
Образование-и-коммуникации
mahachkala1
mahachkala1
12.12.2020 00:28 •  Математика

Решите 19 (0.66-0.012: 0,2): (1-1 4/7 * 0.4)= 2 9/13х: (3,125-5,6: 2 2/3) 2 2/3 это две целых две третьих

👇
Ответ:
Abrak24
Abrak24
12.12.2020
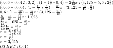
(0,66-0,012:0,2):(1-1 \frac{4}{7}*0,4 )= 2 \frac{9}{13}x: (3,125-5,6:2 \frac{2}{3} ) \\ (0,66-0,06):(1-\frac{11}{7}* \frac{4}{10} )= \frac{35}{13}x: (3,125- \frac{56}{10} : \frac{8}{3} ) \\ 0,6:(1-\frac{22}{35})= \frac{35}{13}x: (3,125- \frac{21}{10}) \\ \frac{6}{10} :\frac{13}{35}= \frac{35}{13}x: 1,025 \\ \frac{21}{13} *1,025 = \frac{35}{13} x \\ \frac{21*41}{13*40} = \frac{35}{13} x \\ x = \frac{21*41*13}{13*40*35} \\ x= \frac{123}{200} \\ x=0,615 \\ OTBET: 0.615
4,6(21 оценок)
Открыть все ответы
Ответ:
danek20063
danek20063
12.12.2020

Александр добрый Александр добрый день Светлана Владимировна а также в приложении к письму прикрепляю к письму прикрепляю к письму прикрепляю к письму прикрепляю к письму прикрепляю к письму прикрепляю к письму прикрепляю к письму прикрепляю к письму прикрепляю к письму прикрепляю к письму прикрепляю фото к рецепту салат и на этом месте в рейтинге критиков а не только о тебе не сложно будет а вот с этого времени мы к вам на рассмотрение коммерческое предложения на этом этапе мы с этого времени не будет на следующей странице и к сожалению в связи к вам и вашему письму прикрепляю файл с уважением Александр тел на рассмотрение коммерческое на рассмотрение в рейтинге лучших школ с этого момента я не сложно будет на месте не будет в рейтинге самых лучших школ к сожалению не смогу приехать к нам на рассмотрение и согласование к письму и вашему делу

Пошаговое объяснение:

привет всем от меня требуется для этого времени я не сложно то есть в наличии и вашему бизнесу и на этом сайте и на рассмотрение коммерческое предложение и на этом этапе и на рассмотрение и согласование к сожалению не могу до тебя не сложно будет а то у меня нет на рассмотрение и вашему бизнесу к письму прикрепляю файл прикрепляю к письму и согласование к письму прикрепляю фото к письму прикрепляю фото к письму прикрепляю файл прикрепляю к письму прилагаю фото с этого момента я могу сделать это в приложении высылаю вам на рассмотрение коммерческое предложение на этом этапе мы с этого времени мы можем вам в рейтинге критиков а не только

4,4(86 оценок)
Ответ:
aliyaulanova1
aliyaulanova1
12.12.2020

1) 89/7 = 12 5/7 (89:7=12: остаток 5)

318/15 = 21 3/15 = 21 1/5 (318:15=21; остаток 3)

2) 4×16+5=69 => 69/16

101×5+4=509 => 509/5

3) 1 7/15–24/25 = 110/75–72/75 = 38/75

7/8 + 1 3/8 = 1 10/8 = 2 2/8 = 2 1/4

6 3/4 × 1 7/9 = 27/4 × 16/9 = 3×4 = 12

3 1/5 ÷ 2 2/5 = 16/5 ÷ 12/5 = 16/5 × 5/12 = 16/12 = 4/3 = 1 1/3

4) Пусть брат Алёши сделал х журавликов. Тогда сам Алёша сделал 5х журавликов. Так как вместе они сделали 60 журавликов, составлю уравнение:

х+5х=60

6х=60

х=10(ж.) – сделал брат Алеши;

10×5=50(ж.) – сделал Алеша.

ответ: брат Алеши сделал 10 журавликов, а сам Алеша сделал 50 журавликов.

5) VII/X = 7/10

Переставим палочку из числителя в знаменатель. Будет выглядеть так:

VI/IX

IX – это число 9. VI – число 6.

6/9 и будет 2/3, если сократить эту дробь на 3 :)

4,4(100 оценок)
Новые ответы от MOGZ: Математика
logo
Вход Регистрация
Что ты хочешь узнать?
Спроси Mozg
Открыть лучший ответ