М
Молодежь
К
Компьютеры-и-электроника
Д
Дом-и-сад
С
Стиль-и-уход-за-собой
П
Праздники-и-традиции
Т
Транспорт
П
Путешествия
С
Семейная-жизнь
Ф
Философия-и-религия
Б
Без категории
М
Мир-работы
Х
Хобби-и-рукоделие
И
Искусство-и-развлечения
В
Взаимоотношения
З
Здоровье
К
Кулинария-и-гостеприимство
Ф
Финансы-и-бизнес
П
Питомцы-и-животные
О
Образование
О
Образование-и-коммуникации
KateySh
KateySh
11.11.2020 06:38 •  Математика

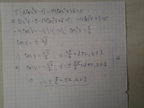
5cos2x-14cos^2x+8=0 решите уравнение надо

👇
Ответ:
dimakovelko
dimakovelko
11.11.2020
Применены : формула двойного угла косинуса, табличные значения косинуса
5cos2x-14cos^2x+8=0 решите уравнение надо
4,5(41 оценок)
Открыть все ответы
Ответ:
0101015
0101015
11.11.2020
Рашид Нурмухаметов. - «В нефтяном крае» (1969). Рашит Мухаметбареевич Нурмухаметов родился 4 сентября 1925 года в городе Уфе. Живописец, Заслуженный художник Башкирской АССР (1968). Народный художник РСФСР (1977) Создание картины он начал с конкретных портретов-фактов, конкретных ишимбайских и туймазинских пейзажей. Картины «Бурильщик Гафур», портреты ветеранов-нефтяников, романтичные женские образы его сюжетных картин также сыграли большую роль. Он хотел создать образ людей труда, соединив его с образом любимого края. Он много раз выступал на встречах со зрителями, участвовал в обсуждении своих картин на фоне персональных выставок и всегда говорил о героях картины «В нефтяном крае» с большой теплотой, утверждая свою близость с ними. Он говорил, что живет с ними в одном ритме, дышит тем же воздухом и заботится о том же - о своей любимой родине, о ее процветании. Нурмухаметов писал эту картину более десяти лет, закончив ее в 1969 году и впервые показав в Москве и Ленинграде на декадной выставке, посвященной культуре республики.
4,8(33 оценок)
Ответ:
Alisarive
Alisarive
11.11.2020
1) Растения:Пролеска сибирская (Scilla siberica), Гусиный лук (Gagea), Хохлатка плотная (Corydalis bulbosa), Сочевичник весенний, или чина весенняя (Lathyrus vernus), Адонис весенний, или горицвет весенний (Adonis vernalis), Ветреница лютиковая (Anemone ranunculoides)
2) Животные:Европейская норка (по-латыни Mustela lutreola) – животное семейства куньих, отряда хищные. Это редкое животное имеет международный статус охраны. Общее количество европейской норки в настоящее время оценивается в 500-600 голов. Это очень немного для небольшого зверька.
пойдёт?:)
4,5(23 оценок)
Это интересно:
Новые ответы от MOGZ: Математика
logo
Вход Регистрация
Что ты хочешь узнать?
Спроси Mozg
Открыть лучший ответ