М
Молодежь
К
Компьютеры-и-электроника
Д
Дом-и-сад
С
Стиль-и-уход-за-собой
П
Праздники-и-традиции
Т
Транспорт
П
Путешествия
С
Семейная-жизнь
Ф
Философия-и-религия
Б
Без категории
М
Мир-работы
Х
Хобби-и-рукоделие
И
Искусство-и-развлечения
В
Взаимоотношения
З
Здоровье
К
Кулинария-и-гостеприимство
Ф
Финансы-и-бизнес
П
Питомцы-и-животные
О
Образование
О
Образование-и-коммуникации
муслима18
муслима18
28.01.2021 05:52 •  Математика

Выполните действия: а) 3/8 : 5/12- 3 1/2 * 2/5+ 1 : 3 1/3 б)1 1/4 *(-2 2/3)+ 4/5 * 2 11/12- 1 1/6 : 21/22 в)3/4 : (1/14 - 5/7) + (5/6 -7/12) * 6 2/3 распишите по действиям.

👇
Ответ:
alexaFat
alexaFat
28.01.2021
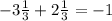
A)
\frac{3}{8} : \frac{5}{12} - 3 \frac{1}{2} * \frac{2}{5} + 1 : 3 \frac{1}{3}=- \frac{1}{5}
1) \frac{3}{8} : \frac{5}{12} = \frac{3}{8} * \frac{12}{5}= \frac{9}{10}
2) 3 \frac{1}{2} * \frac{2}{5} = \frac{7}{2} * \frac{2}{5}= \frac{14}{10} =1 \frac{4}{10}=1 \frac{2}{5}
3) 1 : 3 \frac{1}{3}= 1: \frac{10}{3} =1* \frac{3}{10} = \frac{3}{10}
4) \frac{9}{10}-1 \frac{2}{5} = \frac{9}{10}-1 \frac{4}{10} = - \frac{5}{10} =- \frac{1}{2}
5) - \frac{5}{10} + \frac{3}{10} =- \frac{2}{10} =- \frac{1}{5}

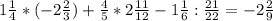
б)
1 \frac{1}{4} *(-2 \frac{2}{3} )+ \frac{4}{5} * 2 \frac{11}{12} - 1 \frac{1}{6} : \frac{21}{22}=-2 \frac{2}{9}
1) 1 \frac{1}{4} *(-2 \frac{2}{3} )= \frac{5}{4}*(- \frac{8}{3})=- \frac{10}{3} =-3 \frac{1}{3}
2) \frac{4}{5} * 2 \frac{11}{12}= \frac{4}{5} * \frac{35}{12}= \frac{7}{3}=2 \frac{1}{3}
3) 1 \frac{1}{6} : \frac{21}{22}= \frac{7}{6} * \frac{22}{21} = \frac{11}{9} =1 \frac{2}{9}
4) -3 \frac{1}{3}+2 \frac{1}{3}=-1
5) -1-1 \frac{2}{9}=-2 \frac{2}{9}

в) 
\frac{3}{4} : ( \frac{1}{14} - \frac{5}{7} ) + ( \frac{5}{6} - \frac{7}{12} ) * 6 \frac{2}{3} =\frac{1}{2}
1) \frac{1}{14} - \frac{5}{7}= \frac{1}{14}- \frac{10}{14} =- \frac{9}{14}
2) \frac{5}{6} - \frac{7}{12}= \frac{10}{12} - \frac{7}{12} = \frac{3}{12} = \frac{1}{4}
3) \frac{3}{4} : (- \frac{9}{14} )=- \frac{3}{4} * \frac{14}{9} =- \frac{7}{6}=-1 \frac{1}{6}
4) \frac{1}{4} * 6 \frac{2}{3} = \frac{1}{4}* \frac{20}{3} = \frac{5}{3} =1 \frac{2}{3}
5) -1 \frac{1}{6} +1 \frac{2}{3} =-1 \frac{1}{6} +1 \frac{4}{6} = \frac{3}{6} = \frac{1}{2}
4,6(80 оценок)
Открыть все ответы
Ответ:
t12345k
t12345k
28.01.2021
Начало весенней поры. Ближе к полуночи появляется Весна – красна, она сообщает о событиях шестнадцатилетней давности, когда она вышла замуж за деда Мороза и родила доченьку – снегурочку. С того момента жители берендейцы, не знают тепла, живут в постоянной стуже, ведь ревнивец Ярило – Солнце не очень то балует их солнечным теплом. Он недоволен браком Весны, он хотел бы видеть ее своей женой.
Мороз планирует уйти с царства берендеев, но очень переживает о своей дочери Снегурочке, подозревая, что Ярило решил загубить девушку, запустив в ее сердце любовь.
В итоге родители принимают решение послать свою дочурку к простым людям. Снегурочка счастлива, ей давно нравится симпатичный пастух Лель, поющий замечательные песни. Оставив дочь на попечение Лешему, родители уходят.
Люди отмечают Масленицу, Бобылиха и Бобыль видят Снегурочку, и берут ее к себе на воспитание.
Живя среди людей, Морозова дочка, влюбляется в пастуха Леля. Он поет для нее, и она одаряет его цветком. Далее появляются девушки, и юноша, роняя подарок, спешит к ним. Снегурочка расстроена. Приходит девушка Купава, сообщает ей о своей готовящейся свадьбе с возлюбленным Мизгирем. Появляется Мизгирь, и следуя свадебному обычаю, собирается отдать выкуп за свою будущую жену, но волей случая его взгляд натыкается на прекрасную дочь Весны. Он бросает свою невесту и спешит понравиться Снегурочке. Купава, не стерпев позора, решает свести счеты с жизнью, но Лель ее останавливает. Люди разочарованы поступком Мизгиря, и советуют брошенной невесте просить у берендейского царя.
Царские палаты, подданные восхваляют своего правителя. Царь взволнован, результатом недовольства Ярилы – Солнца. Чтобы его разжалобить, государь решает отпраздновать день Ярилы, бракосочетаниями всех неравнодушных пар королевства. Забегает Купава, плача, она рассказывает царю, о предательстве жениха, и требует найти на него управу. Берендей прогоняет Мизгиря на веки вечные, но тот не противится, желает только, чтобы государь взглянул на Снегурочку. Берендей увидел девушку и обомлел от ее красоты. Он говорит горе – жениху, что если у того получится зажечь огонь любви в сердце Снегурочки до утра, то он может взять ее в жены.
Вечер, молодые люди веселятся, поют песни, танцуют. Берендей предлагает Лелю выбрать девушку, в награду за его пение, парень спешит к Купаве. Снегурочка очень расстроена. Мизгирь сладкими речами, пытается растопить ее сердце, но она смущенно уходит прочь.
Снегурочка обращается за к своей матери. Весна одевает на дочь чудесный венок познать любовь. Девушка отвечает Мизгирю взаимностью, они решают спрятаться от сердитого Ярилы, но не успевают, лучик солнца падает на Снегурочку и она тает. Убитый горем Мизгирь бросается в озеро.
Берендей уверен, что теперь – то солнце вернется в его владения. В связи с гибелью девушки, у Ярилы уже больше нет повода для злости.

‼️Данное произведение, учит быть более ответственными к такому чувству, как любовь.
4,7(90 оценок)
Ответ:
23452345torer
23452345torer
28.01.2021
Человек может войти в любую неприятную ситуацию, но так же может и выйти из нее. У меня есть один случай на примере: " Один мужчина, когда-то, застрял в лифте, он пытался открыть дверь,
кричал, просил о но никто не слышал, а другие безрозличные люди, просто не обращали внимание. Он никак не мог выбратся, так как,аварийная кнопка в лифте не работала, а телефона у него не было. Но вдруг мужчина вспомнил, чего папа его учил: нужно чуть-чуть раздвинуть дверь лифта и вставить что-нибудь в это отверствие (например спичечную коробку) и дальше пытатся раздвинуть проход. Таким методрм молодой человек выбрался из очень неприятной ситуации.
Как говорят: " Выход найти можно из любой ситуации, даже если это кажется не возможным!".
4,4(12 оценок)
Это интересно:
Новые ответы от MOGZ: Математика
Полный доступ к MOGZ
Живи умнее Безлимитный доступ к MOGZ Оформи подписку
logo
Вход Регистрация
Что ты хочешь узнать?
Спроси Mozg
Открыть лучший ответ