М
Молодежь
К
Компьютеры-и-электроника
Д
Дом-и-сад
С
Стиль-и-уход-за-собой
П
Праздники-и-традиции
Т
Транспорт
П
Путешествия
С
Семейная-жизнь
Ф
Философия-и-религия
Б
Без категории
М
Мир-работы
Х
Хобби-и-рукоделие
И
Искусство-и-развлечения
В
Взаимоотношения
З
Здоровье
К
Кулинария-и-гостеприимство
Ф
Финансы-и-бизнес
П
Питомцы-и-животные
О
Образование
О
Образование-и-коммуникации
pstepanova496
pstepanova496
12.12.2021 08:12 •  Математика

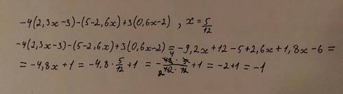
Выражения -4(2,3х--2,6х)+3(0,6х-2) и вычислите его значение при х= 5/12

👇
Ответ:
zhurovalyuda
zhurovalyuda
12.12.2021
Решение...............
Выражения -4(2,3х--2,6х)+3(0,6х-2) и вычислите его значение при х= 5/12
4,8(84 оценок)
Открыть все ответы
Ответ:
akitaeva1
akitaeva1
12.12.2021
                                       Три путешествия Медиатрисы.
                                                       Сказка.
     Есть в математическом царстве одна замечательная семья с интересной традицией: все они прямые и правильные, не могут кривить и хитрить. Но почему-то (?!) неуживчивые. С кем ни пересекутся – все поперек общей линии твердят. А еще им очень обидно, что их звучную фамилию не каждый произнести может, если его ночью разбудить. Да и с утра тоже не сразу выговоришь: «ПЕР-ПЕН-ДИ-КУ-ЛЯР».
     Самая примечательная личность среди Перпендикуляров называла себя МЕДИАТРИСА. Это же гораздо благозвучнее, чем «Серединный Перпендикуляр»! И она очень хотела путешествовать, считая, что результатом каждого путешествия должны стать не только новые впечатления, но и самопознание. Законы Царства давали возможность молодежи совершить три путешествия, после чего каждый официально занимал отведенное ему по итогам путешествий  место.
     Для тренировки Медиатриса несколько раз пыталась пройтись взад-вперед по линии, но ее все время на место ставили. И она поняла: ее место - в середине отрезка! Вы скажете, это скучно? Но это если ты одинок. И в компании двух друзей, таких же, как она Серединных Перпендикуляров,  Медиатриса отправилась к Треугольникам.
     В Треугольнике точка их пересечения стала ЦЕНТРОМ ОКРУЖНОСТИ, которая сразу же образовалась вокруг этого Треугольника, чтобы посмотреть на молодежь. На той Окружности, кстати, Медиатриса и подружилась с Биссектрисой Треугольника. Внутри Треугольнике они разошлись во мнениях, а здесь, представьте, общая точка зрения обнаружилась, было о чем пошептаться!
     В следующем путешествии  они посетили уже Равнобедренные Треугольники. Медиатриса хмыкнула, увидев, как сравнивались по величине отрезки ее спутников – Серединных Перпендикуляров к равным сторонам. (Она-то  никогда не старалась умалить кого бы то ни было. В любом Треугольнике становилась на среднюю по величине сторону. И ее отрезок был всегда наименьшим.) Сама же Медиатриса почувствовала в себе новые возможности: делить угол ровно пополам! Она стала еще и БИССЕКТРИСОЙ!
     Медиатриса была умна, умела делать выводы и строить гипотезы. Поэтому в последнее путешествие друзья  посетили уже  Равносторонние Треугольники. Равносторонних было несколько, но в каждом из них три Серединных Перпендикуляра одновременно все становились и БИССЕКТРИСАМИ, и МЕДИАНАМИ, и ВЫСОТАМИ. Медиатриса давно догадывалась, где это может быть возможным, поэтому радовалась счастью друзей,  и сама с удовольствием примеряла новые роли.
     Все Царство математики следило за приключениями Медиатрисы, а когда они закончилось, ее единогласно избрали судьей. Действительно, будучи настоящим Серединным Перпендикуляром, она просто создана для этого.    
4,4(64 оценок)
Ответ:
shdbrjhb
shdbrjhb
12.12.2021

ответ: 80.

Пошаговое объяснение:

Так как выражение под знаком корня  должно быть неотрицательным, то прежде всего должно выполняться неравенство ln [cos(5*π*x)]≥0. Но так как при любом значении x cos(5*π*x)≤1, то возможно только равенство ln[cos(5*π*x)]=0. Решая уравнение cos(5*π*x)=1, находим 5*π*x=2*π*n, где n∈Z. Отсюда x=2*n/5. Возвращаясь теперь к исходному неравенству и подставляя туда значение x=2*n/5, получаем неравенство /8*n²/25-8*n+37/≤5, которое приводится к виду n²-25*n+100≤0, или (n-20)*(n-5)≤0. Решая это неравенство методом интервалов, находим 5≤n≤20, то есть n может быть любым натуральным числом от 5 до 20. Тогда решения неравенства можно записать в виде x=2*n/5, где n∈[5;20] и n∈Z. Сумма же всех решений S=2/5*(5+6+...+20)=2/5*200=80.        

4,7(9 оценок)
Новые ответы от MOGZ: Математика
logo
Вход Регистрация
Что ты хочешь узнать?
Спроси Mozg
Открыть лучший ответ