М
Молодежь
К
Компьютеры-и-электроника
Д
Дом-и-сад
С
Стиль-и-уход-за-собой
П
Праздники-и-традиции
Т
Транспорт
П
Путешествия
С
Семейная-жизнь
Ф
Философия-и-религия
Б
Без категории
М
Мир-работы
Х
Хобби-и-рукоделие
И
Искусство-и-развлечения
В
Взаимоотношения
З
Здоровье
К
Кулинария-и-гостеприимство
Ф
Финансы-и-бизнес
П
Питомцы-и-животные
О
Образование
О
Образование-и-коммуникации
Настя61391
Настя61391
26.10.2022 03:46 •  Математика

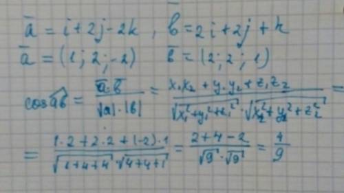
Найти косинус угла между векторами a=i+2j-2k и b=2i+2j+k.

👇
Ответ:
flox1998
flox1998
26.10.2022
...............................................................
Найти косинус угла между векторами a=i+2j-2k и b=2i+2j+k.
4,5(97 оценок)
Открыть все ответы
Ответ:
howl111
howl111
26.10.2022

F=m*a. При движении по окружности центростремительное ускорение a=V²/R, где V это скорость, а R-радиус траектории. Подставляем ускорение во второй закон и получаем, что F=mV²/R. Выразим массу m=F*R/V²

Для того, чтобы найти радиус, мы диаметр делим пополам. R=25/2=12.5 (м).

Также надо перевести км/ч в м/с, так как по СИ должно быть м/с:

45км/ч = 45*1000м/3600с = 12.5 м/с

Подставляем и получаем

m=2Н*12.5м/(12.5м/с)²=0.16 кг (2Н для мотоцикла слишком мало, поэтому масса маленькая получается, вы уверены, что в вопросе так написано? Может быть, там кН?)

Ускорение находим из формулы выше a=V²/R

a=(12.5 м/с)²/12.5м=12.5 м/с²

4,5(78 оценок)
Ответ:
melongemma
melongemma
26.10.2022

Пошаговое объяснение:

1)x=(2/3)x + 1

x - (2/3)x = 1

(1/3)x = 1

x = 1 : 1/3

x = 3

2) x - 1/2 = (3/4)x

x - (3/4)x = 1/2

(1/4)x = 1/2

x = 1/2 : 1/4

x = 1/2 * 4/1

x = 2

3) x - 2/3 = (5/6)x

x - (5/6)x = 2/3

(1/6)x = 2/3

x = 2/3 : 1/6

x = 2/3 * 6/1

x = 4

4) (1 4/5)y = y + 4.

(1 4/5)y - y = 4

(4/5)y = 4

y = 4 : 4/5

y = 4 * 5/4

y = 5

5) (2/3)y - 1/3 = 5/9y

(2/3)y - (5/9)y = 1/3

(6/9)y - (5/9)y = 1/3

(1/9)y = 1/3

y = 1/3 : 1/9

y = 1/3 * 9/1

y = 3

6)(3/4)y - 2/3 = (7/12)y

(3/4)y - (7/12)y = 2/3

(9/12)y - (7/12)y = 2/3

(1/6)y = 2/3

y = 2/3 : 1/6

y = 2/3 * 6/1

y = 4

4,6(83 оценок)
Это интересно:
Новые ответы от MOGZ: Математика
logo
Вход Регистрация
Что ты хочешь узнать?
Спроси Mozg
Открыть лучший ответ