Вход
Регистрация
Спроси Mozg AI
М
Молодежь
К
Компьютеры-и-электроника
Д
Дом-и-сад
С
Стиль-и-уход-за-собой
П
Праздники-и-традиции
Т
Транспорт
П
Путешествия
С
Семейная-жизнь
Ф
Философия-и-религия
Б
Без категории
М
Мир-работы
Х
Хобби-и-рукоделие
И
Искусство-и-развлечения
В
Взаимоотношения
З
Здоровье
К
Кулинария-и-гостеприимство
Ф
Финансы-и-бизнес
П
Питомцы-и-животные
О
Образование
О
Образование-и-коммуникации
.....больше.....
..меньше..
katysid155
11.12.2020 11:11 •
Математика
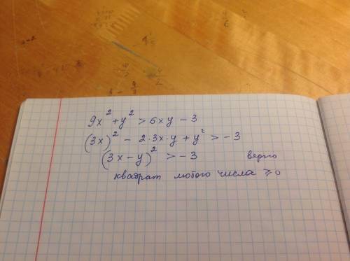
9х^2+y^2> 6xy-3 доказать неравенство
👇
Увидеть ответ
Ответ:
yuldumenko
11.12.2020
Решение смотри на фото
4,8
(80 оценок)
Ответ:
Keeping
11.12.2020
9х^2+y^2>6xy-3
9x^2+y^2-6xy>-3
9x^2+y^2-3xy-3xy>-3
3x(3x-y)-y(3x-y)>-3
(3x-y)(3x-y)>-3
(3x-y)^2>-3
квадрат всегда неотрицателен, поэтому неравенство доказано
4,8
(15 оценок)
Открыть все ответы
Ответ:
e2005n
11.12.2020
Всего - 220 т 5 ц (это 2205 ц)
Ячменя - 85 т ,это на 9 т 5 ц б., чем овса (это 850 ц)
Овса - ? (это 755 ц)
Проса - ? (это 600 ц)
1) 850 ц - 95 ц = 755 (ц) - овса
2) 850ц + 755 ц = 1605 (ц) - ячменя и овса
3) 2205 ц - 1605 ц = 600 (ц) - проса
ответ: 600 ц проса заготовлено для посева.
ПРОВЕРКА:
850 ц + 755 ц + 600 ц = 2205 (ц) т.е. 220 т 5 ц
4,4
(97 оценок)
Ответ:
МаленькаяПианистка
11.12.2020
Всего - 220 т 5 ц (это 2205 ц)
Ячменя - 85 т ,это на 9 т 5 ц б., чем овса (это 850 ц)
Овса - ? (это 755 ц)
Проса - ? (это 600 ц)
1) 850 ц - 95 ц = 755 (ц) - овса
2) 850ц + 755 ц = 1605 (ц) - ячменя и овса
3) 2205 ц - 1605 ц = 600 (ц) - проса
ответ: 600 ц проса заготовлено для посева.
ПРОВЕРКА:
850 ц + 755 ц + 600 ц = 2205 (ц) т.е. 220 т 5 ц
4,4
(50 оценок)
Это интересно:
П
Питомцы-и-животные
13.09.2020
Как вырастить карпа кои: основные правила и советы...
П
Питомцы-и-животные
24.05.2020
Как спасти кошку, которая забралась на дерево?...
З
Здоровье
15.05.2021
Как распознать мошоночную грыжу...
Д
Дом-и-сад
21.11.2022
Как подрезать азалию: правила и рекомендации...
18.05.2021
Как стильно и удобно одеваться в старшей школе: советы для парней...
К
Кулинария-и-гостеприимство
07.03.2023
Как приготовить пончики: простой и вкусный рецепт...
28.09.2020
Как медитировать, если вы подросток...
02.12.2021
Как распознавать СДВГ у взрослых: симптомы и диагностика...
Х
Хобби-и-рукоделие
19.02.2020
Как начать бизнес по производству самодельного мыла...
Ф
Финансы-и-бизнес
05.11.2020
Как выбрать нотариуса для распределения наследуемого имущества...
Новые ответы от MOGZ: Математика
Miha96555
20.04.2020
Вычисли площадь квадрата,периметр которого равен 6 см....
Zhannochka3110
20.04.2020
Решить . ! на двух складах хранилось 94 тонны картофеля. после того, как с первого склада перевезли на второй 12 тонн картофеля, на втором складе стало в 3 раза больше чем на первом....
Sashska13me
20.04.2020
Зал и коридор имеют одинаковую длину . площадь зала 300 м 2 , а площадь коридора 120 м 2 . ширина зала 10 м . узнай ширину коридора ....
Djunisova
20.04.2020
Придумай небольшие рифмовки с данными словами. 1)жучок , паучок 2) пушинки,снежинки 3) речка,печка 4) стужа, лужа 5) кошка, плошка 6) ловить, лечить 7) роза, мимоза...
настя7096
20.04.2020
Экология - наука ещё молодая , она появилась лишь в начале 20 века . вместе с тем экологические знание накапливались с древнейших времён. какие по вашему мнению знания накоплены...
qwerty2021
20.04.2020
Какая будет скорость если за 40 минут проехал 60 километров...
cmh3
20.04.2020
Лесорубы заготовили 32 000 м² строительного леса.по реке сплавили 60 процентов заготовленного леса, а остальной отправили по железной дороге.на сколько кубометров меньше леса отправили...
MegaTanker
20.04.2020
Вдвух кувшинках 11,7л оливкового масла сколько масла в каждом кувшине если в одном , если в одном из них на на 3,6 л больше чем в другом...
Сабри1111
20.04.2020
Из двух пунктов расстояние между которыми равно 84 км в одно направление одновременно выехали два автомобиля со скоростью 68,4 км/ч и 57,9 км/ч. автомобиль с меньшей скорости двигался...
ElinaN28
20.04.2020
Запиши используя скобки, выражения разность чисел 24 и 15 увеличить на 6....
MOGZ ответил
Обчисліть масу кисню об єм якого дорівнює 13,44л....
Жазылым 2. «Достықты бағалай білейік» тақырыбында мәтін жазыңыз. Жазба жұмысында...
3. Сөйлемде берілген ойды шынайы өмірмен байланыстырып тұжырымдаңыз. Қолда барды...
В вакууме на расстоянии 30 см расположены два заряда 9*10^-9 Кл и -2*10^-9 Кл...
Представье в виде обкнновеной дроби -3,4(13)...
Сделать словообразовательный разбор любых 5 слов...
2. Найдите сходства и различия государства Кереитов и Найманов каганата. !...
Где находится номер квитации...
Что входит в потребительскую корзину? Список и цены, время её создания...
решить , тест ❤️ 1. The theatre is in the centre of the city,…it ? a) isn’t...
Полный доступ к MOGZ
Живи умнее Безлимитный доступ к MOGZ
Оформи подписку
О НАС
О нас
Блог
Условия пользования
Авторское право
Политика конфиденциальности
Предпочтения cookie-файлов
ПОМОЩЬ
Зарегистрируйся
Центр помощи
Центр безопасности
App
Вход
Регистрация
Что ты хочешь узнать?
Спроси Mozg
Открыть лучший ответ