М
Молодежь
К
Компьютеры-и-электроника
Д
Дом-и-сад
С
Стиль-и-уход-за-собой
П
Праздники-и-традиции
Т
Транспорт
П
Путешествия
С
Семейная-жизнь
Ф
Философия-и-религия
Б
Без категории
М
Мир-работы
Х
Хобби-и-рукоделие
И
Искусство-и-развлечения
В
Взаимоотношения
З
Здоровье
К
Кулинария-и-гостеприимство
Ф
Финансы-и-бизнес
П
Питомцы-и-животные
О
Образование
О
Образование-и-коммуникации
Crdsaadfa
Crdsaadfa
02.09.2021 17:43 •  Математика

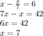
Найдите корень уравнени: х-х\7=6 желательно с обьяснением!

👇
Ответ:
Х - х/ 7 = 6 . Умножим левую и правую стороны на 7 . Получим : 7х - х = 42
6х = 42
х = 42/6
х = 7
4,8(93 оценок)
Ответ:
lampec1
lampec1
02.09.2021
x- \frac{x}{7} =6 \\ 7x-x=42 \\ 6x=42 \\ x=7
4,8(21 оценок)
Открыть все ответы
Ответ:
Пусть одна часть равна х, тогда:
АМ=2х;  NВ=3х; АВ=2х+х+3х=6х
Отрезки МД и NС делят прямоугольник АВСД на три фигуры:
треугольник АМД, трапецию  ДМNС и треугольник ВNС
Площадь треугольника АМД (S1) равна:
S1=1/2 * АМ * АД=1/2 * 2х * АД=х*АД
Площадь треугольника ВNC (S2) равна:
S2=1/2 * ВN * ВС, так как ВС=АД, то:
S2=1/2 * 3х * АД=3/2 * х * АД
Площадь прямоугольника АВСД (S3) равна:
S3=АВ*АД=6х*АД
Площадь  трапеции ДМNС (S4) равна:
S4=S3-(S1+S2)=6х*АД-(х*АД+3/2 *х*АД)=7/2 *х*АД
Отношение площадей равно:
S1:S4:S2=х*АД : 7/2 *х*АД : 3/2 *х*АД=1:7/2:3/2=1:3,5:1,5
ответ: 1:3,5:1,5
 
4,5(13 оценок)
Ответ:
Дано : t1=80 ч, t2 = 110 часов , V1=V2,  ΔS=S2-S1=450 км
S1-?, S2-?
Расстояние S= t*V , где V- скорость, t - время в пути,
Тогда S1= (80*V) км , S2= (110*V) км. Зная , что ΔS=450 км , получим уравнение:
110*V - 80*V= 450
(110-80)*V =450
30*V = 450
V= 450:30 = 15 км/ч - скорость уток (V1=V2)
S1= 80*15= 1200 км - расстояние , которое пролетела 1 утка.
S2= 110*15 = 1650 км - расстояние, которое пролетела 2 утка
ответ: S1= 1200 км, S2= 1650 км.

ИЛИ без уравнений:
1) ΔS= 450 км -   разница в расстоянии
Δt= 110-80=30 ч. - разница во времени
V= ΔS:Δt= 450:30= 15  км /ч  -скорость уток
2) S1=15*80=1200 км - расстояние для 1 утки
3) S2= 15*110= 1650 км - расстояние для 2  утки.
ответ: S1=1200 км, S2=1650 км.
4,4(26 оценок)
Новые ответы от MOGZ: Математика
logo
Вход Регистрация
Что ты хочешь узнать?
Спроси Mozg
Открыть лучший ответ