М
Молодежь
К
Компьютеры-и-электроника
Д
Дом-и-сад
С
Стиль-и-уход-за-собой
П
Праздники-и-традиции
Т
Транспорт
П
Путешествия
С
Семейная-жизнь
Ф
Философия-и-религия
Б
Без категории
М
Мир-работы
Х
Хобби-и-рукоделие
И
Искусство-и-развлечения
В
Взаимоотношения
З
Здоровье
К
Кулинария-и-гостеприимство
Ф
Финансы-и-бизнес
П
Питомцы-и-животные
О
Образование
О
Образование-и-коммуникации
poliska333
poliska333
02.06.2021 16:47 •  Математика

Найти угловой коэффициент касательной к графику функции f(x)=2x^4-3 в точке с абсциссой x0=-3

👇
Ответ:
NewRussianGirl
NewRussianGirl
02.06.2021
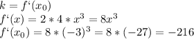
k=f`(x_0)\\f`(x)=2*4*x^3=8x^3\\f`(x_0)=8*(-3)^3=8*(-27)=-216
4,6(26 оценок)
Открыть все ответы
Ответ:
ива357
ива357
02.06.2021

1-й

1) 60 * 2 = 120 (км) - успел проехать автобус до выезда автомобиля.

2) 60 + 80 =140 (км/ч) - скорость их сближения.

3) 140 * 2 = 280 (км) - автобус и автомобиль проехали до встречи за 2 часа.

4) 120 + 280 = 400 (км) -  расстояние между населёнными пунктами.

2-й

1)60*4 =240 (км) - проехал автобус до встречи с автомобилем.

2) 80*2=160 (км) - проехал автомобиль до встречи с автобусом.

3) 240+ 160 = 400 (км)  расстояние между населёнными пунктами.

ответ: 400 километров  расстояние между населёнными пунктами.

4,6(57 оценок)
Ответ:
ilyavladimirov1
ilyavladimirov1
02.06.2021

1-й

1) 60 * 2 = 120 (км) - успел проехать автобус до выезда автомобиля.

2) 60 + 80 =140 (км/ч) - скорость их сближения.

3) 140 * 2 = 280 (км) - автобус и автомобиль проехали до встречи за 2 часа.

4) 120 + 280 = 400 (км) -  расстояние между населёнными пунктами.

2-й

1)60*4 =240 (км) - проехал автобус до встречи с автомобилем.

2) 80*2=160 (км) - проехал автомобиль до встречи с автобусом.

3) 240+ 160 = 400 (км)  расстояние между населёнными пунктами.

ответ: 400 километров  расстояние между населёнными пунктами.

4,8(18 оценок)
Это интересно:
Новые ответы от MOGZ: Математика
logo
Вход Регистрация
Что ты хочешь узнать?
Спроси Mozg
Открыть лучший ответ