М
Молодежь
К
Компьютеры-и-электроника
Д
Дом-и-сад
С
Стиль-и-уход-за-собой
П
Праздники-и-традиции
Т
Транспорт
П
Путешествия
С
Семейная-жизнь
Ф
Философия-и-религия
Б
Без категории
М
Мир-работы
Х
Хобби-и-рукоделие
И
Искусство-и-развлечения
В
Взаимоотношения
З
Здоровье
К
Кулинария-и-гостеприимство
Ф
Финансы-и-бизнес
П
Питомцы-и-животные
О
Образование
О
Образование-и-коммуникации
xarimapula
xarimapula
03.10.2020 07:29 •  Математика

4(3,5x--1,7x)+5(0,3x-5) и найдите его значение,если x=-10/27

👇
Ответ:
098марина080
098марина080
03.10.2020
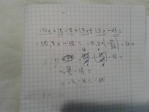
Раскрой скобки, не забудь про знак и, затем подобные слагаемые и найди значение выражения при х
-4*3,5+16-7+1,7х+1,5х-25
Х с х, числа с числами
4,6(87 оценок)
Ответ:
Xenia2005
Xenia2005
03.10.2020
Пшсослмщизпщвгпшпщрщпщп
4(3,5x--1,7x)+5(0,3x-5) и найдите его значение,если x=-10/27
4,7(98 оценок)
Открыть все ответы
Ответ:
Kuznecovaalexa2005
Kuznecovaalexa2005
03.10.2020

ушастый ежик: описание этот зверек относится к млекопитающим, к семейству ежовых, но считается самым маленьким представителем и имеет своеобразное строение. отличительной особенностью являются его уши, которые выходят за половину головы, чему и было присвоено такое название. с таких ушей происходит регулировка температуры тела для защиты от перегрева, так как на поверхности кожи у самых кончиков ушей расположена густая сеть капилляров, которые расширяются при высокой температуре и охлаждать тело. вот такой интересный и уникальный ушастый ежик, фото которого можно легко найти в энциклопедиях. - читайте подробнее на fb.ru:

4,4(64 оценок)
Ответ:
lexa123assasin
lexa123assasin
03.10.2020
(7 -8_4\5* 2_7\9 -15:(1\8-3\4) (перво, что делаем, это приводим к общему знаменателю число 3\4 умножаем на 2, что бы взнаменателе получить одно и тол же число-8.)
=-1_4\5*2_7\9-15:(1\8-6\8) (Так же смешанные дроби(дроби с целыми) переводим в неправильную путём умножения целого числа на знаменатель и прибавляем к нему числитель)
-9\5*25/9-15:(-5\8) ( там, где умножение дробь оставляем тойже и умножаем числител на числитель, а знаменатель, на знаменатель. В делении делитель переворачиваем и так ж е умножаем, дроби можно сократить)
=-5-24=29
ответ:29
4,7(100 оценок)
Новые ответы от MOGZ: Математика
logo
Вход Регистрация
Что ты хочешь узнать?
Спроси Mozg
Открыть лучший ответ