НОД (32; 84) = 4
НОК (32, 84) = 672
Пошаговое объяснение:
НОД (32; 84) = 4
Разложим на простые множители число 32 :
32 = 2 • 2 • 2 • 2 • 2
Разложим на простые множители число 84 :
84 = 2 • 2 • 3 • 7
Выберем одинаковые простые множители в обоих числах: 2, 2
Находим произведение одинаковых простых множителей и записываем ответ :
НОД (32; 84) = 2 • 2 = 4
НОК (32, 84) = 672
Разложим на простые множители число 32 :
32 = 2 • 2 • 2 • 2 • 2
Разложим на простые множители число 84 :
84 = 2 • 2 • 3 • 7
Выберем в разложении меньшего числа (32) множители, которые не вошли в разложение большего числа (84): 2, 2, 2
Добавим эти множители в разложение большего числа (84):
2, 2, 3, 7, 2, 2, 2
Полученное произведение этих множителей запишем в ответ:
НОК (32, 84) = 2 • 2 • 3 • 7 • 2 • 2 • 2 = 672
1) 10000
2) 17 a = 1700 м^2
17 a = 17 * 100 = 1700 м²
3) 5 га 21 а = 52100 м²
5 га 21 а = 5 * 10000 + 21 * 100 = 50000 м² + 2100 м² = 52100 м²
4) 400 м² = 4 а
400 м² = 400 : 100 = 4 а
5) 5200 а = 52 га
5200 а = 5200 : 100 = 52 га
6) 43 км² 900 а = 4309 га
43 км² 900 а = 43 * 100 + 900 : 100 = 4300 + 9 = 4309 га
7) 2 км² = 20000 а
2 км² = 2 * 10000 = 20000 а
8) 400000 дм² = 40 а
400000 дм² = 400000 : 10000 = 40 а
9) 9) 51 км² 3 га = 510300 а
51 км² 3 га = 51 * 10000 + 3 * 100 = 510000 а + 300 а = 510300 а
10) 2 м² = 20000 см²
2 м² = 2 * 10000 = 20000 см²
11) 790000 мм² = 7900 см²
790000 мм² = 790000 : 100 = 7900 см²
12)37 м² 8 дм² = 370800 см²
37 м² 8 дм² = 37 * 10000 + 8 * 100 = 370000 см² + 800 см² = 370800 см²
Примечание:
1a = 100 м
1га = 10000 м ^2
1a = 100 м ^2
1 км = 100 га
1 км² = 10000 а
1 а = 10000 дм²
1 м² = 10000 см²
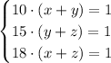
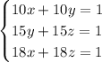
Олжас + Дима = 10 дней
- производительность Олжаса;
- производительность Димы;
- производительность Антона;
















- нарубит дрова Олжас.
- нарубит дрова Дима.
- нарубит дрова Антон.
дня, Дима - 18 дней, Антон - 90 дней.
Дима + Антон = 15 дней
Олжас + Антон = 18 дней
Обозначим, х - Олжас, у - Дима, z - Антон
1 - вся работа
исходя из данных условия задачи составим систему уравнений и решим её
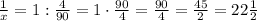
подставляем в (3) уравнение
ответ: Олжас -