М
Молодежь
К
Компьютеры-и-электроника
Д
Дом-и-сад
С
Стиль-и-уход-за-собой
П
Праздники-и-традиции
Т
Транспорт
П
Путешествия
С
Семейная-жизнь
Ф
Философия-и-религия
Б
Без категории
М
Мир-работы
Х
Хобби-и-рукоделие
И
Искусство-и-развлечения
В
Взаимоотношения
З
Здоровье
К
Кулинария-и-гостеприимство
Ф
Финансы-и-бизнес
П
Питомцы-и-животные
О
Образование
О
Образование-и-коммуникации
lavin997
lavin997
26.10.2022 10:30 •  Математика

Найти область определения функции: y(x)=sqrt(x*x-2x)+sqr(3-x)

👇
Ответ:
anna080203
anna080203
26.10.2022
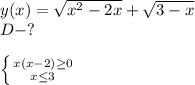
y(x)= \sqrt{ x^{2} -2x}+ \sqrt{3-x} \\ 
D-? \\ \\ 
 \left \{ {{x(x-2) \geq 0} \atop {x \leq 3}} \right. 
 ⇒ x∈(-∞;0]∪[2;3]
4,4(42 оценок)
Открыть все ответы
Ответ:
Trasir
Trasir
26.10.2022

800

Пошаговое объяснение:

Рассмотрим все варианты:


800 руб - 100%

160 р - 20% ( т.е. 800*20% : 100% = 160р)

Вывод : 16 фирм дополнительно заплатили по 10 р (16*10=160р)

16+4=20 фирм вначале хотели сложится


Проверка:

800 : 20=40 руб первоночальноя сумма, которую должны были дать каждая фирма

800 : 16= 50 руб сумма, которую бы заплатили оставшиеся фирмы (без скидки)

50-40=10 руб. - увеличенный взнос для каждой фирмы -- Верно

550 руб - 100%

110 р - 20% ( т.е. 550*20% : 100% = 110р)

Вывод : 11 фирм дополнительно заплатили по 10 р (11*10=110р)

11+4=15 фирм вначале хотели сложится


Проверка:

550 : 15=36,67 руб первоночальноя сумма, которую должны были дать каждая фирма

550 : 11= 50 руб сумма, которую бы заплатили оставшиеся фирмы (без скидки)

50-36,6= 13,4руб. - увеличенный взнос для каждой фирмы --

НЕ ПОДХОДИТ

т.к. оставшиеся фирмы дополнительно сложились по 10 руб.

1200 руб - 100%

240 р - 20% ( т.е. 1200*20% : 100% = 240р)

Вывод : 24 фирмы дополнительно заплатили по 10 р (24*10=240р)

24+4=28 фирм вначале хотели сложится


Проверка:

1200 : 28= 42,86 руб первоночальноя сумма, которую должны были дать каждая фирма

1200 : 24= 50 руб сумма, которую бы заплатили оставшиеся фирмы (без скидки)

50 - 42,86= 7,14руб. - увеличенный взнос для каждой фирмы --

НЕ ПОДХОДИТ

т.к. оставшиеся фирмы дополнительно сложились по 10 руб.

900 руб - 100%

180 р - 20% ( т.е. 900*20% : 100% = 180р)

Вывод : 18 фирм дополнительно заплатили по 10 р (18*10=180р)

18+4=22 фирм вначале хотели сложится


Проверка:

900 : 22= 40,91 руб первоночальноя сумма, которую должны были дать каждая фирма

900 : 18= 50 руб сумма, которую бы заплатили оставшиеся фирмы (без скидки)

50 - 40,91= 9,09 руб. - увеличенный взнос для каждой фирмы --

НЕ ПОДХОДИТ

т.к. оставшиеся фирмы дополнительно сложились по 10 руб.


ответ: 800руб. стоимость кофеварки без скидки

4,4(9 оценок)
Ответ:
MrArt1k01
MrArt1k01
26.10.2022

0,375

Пошаговое объяснение:

играл 1 раз в день\

выигрывал у мамы все

выигрывал у папы 1/5 партий с ним = 0,2

общий выигрыш 1/2 всех партий = 0,5

играл с мамой ? всех партий

Решение

1 все партии

Х доля  партий с мамой, они же и  выигрышные при игре с мамой

1 - Х  доля партий с папой

0,2(1 - Х) выигрышные партии с папой

(Х + 0,2(1 - Х))/1 для всех выигрышных партий

(Х + 0,2(1 - Х))/1 = 0,5 по условию

Х + 0,2 - 0,2Х = 0,5

0,8Х = 0,3

Х = 0,3 : 0,8 = 0,375 доля партий, сыгранных с мамой.

ответ: 0,375

Проверка: 1 - 0,375 = 0,625 партии с папой

0,2*0,675 = 0,125 выигранные у папы

0,375 + 0,125 = 0,5 всего выиграно

4,5(95 оценок)
Новые ответы от MOGZ: Математика
logo
Вход Регистрация
Что ты хочешь узнать?
Спроси Mozg
Открыть лучший ответ