М
Молодежь
К
Компьютеры-и-электроника
Д
Дом-и-сад
С
Стиль-и-уход-за-собой
П
Праздники-и-традиции
Т
Транспорт
П
Путешествия
С
Семейная-жизнь
Ф
Философия-и-религия
Б
Без категории
М
Мир-работы
Х
Хобби-и-рукоделие
И
Искусство-и-развлечения
В
Взаимоотношения
З
Здоровье
К
Кулинария-и-гостеприимство
Ф
Финансы-и-бизнес
П
Питомцы-и-животные
О
Образование
О
Образование-и-коммуникации
Deafandblind
Deafandblind
12.07.2020 04:44 •  Математика

Найти значение выражения (7a+3b)\(3a-b) при (a)\(a+b)=(3)\(4)

👇
Ответ:
mixkorabin
mixkorabin
12.07.2020

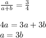
\frac{a}{a+b} = \frac 3 4 \\\\4a = 3a + 3b \\ a = 3b

\frac{7a+3b}{3a-b} = \frac{21b+3b}{9b-b} = \frac{24b}{8b} = 3

ответ: 3

4,5(84 оценок)
Открыть все ответы
Ответ:
Murad11111111
Murad11111111
12.07.2020
Решение:
P=2*(a+b) -где а-длина прямоугольника; b-ширина прямоугольника
S=a*b
26=2a+2b (1)
40=a*b      (2)
Из второго уравнения найдём (а) и подставим её значение в первое уравнение:
а=40/b
26=2*40/b+2b
26=80/b+2b  приведём уравнение к общему знаменателю (b)
b*26=80+b*2b
26b=80+2b^2
2b^2-26b+80=0  сократим каждый член уравнения на 2
b^2-13b+40=0
b1,2=(13+-D)/2*1
D=√(13²-4*1*40)=√(169-160)=√9=3
b1,2=(13+-3)/2
b1=(13+3)/2
b1=8
b2=(13-3)/2
b2=5
подставим значения b1 и b2 в а=40/b
a1=40/8=5
a2=40/5=8
Отсюда следует, что длина прямоугольника 8(см); ширина 5см
4,6(4 оценок)
Ответ:
ната34567890
ната34567890
12.07.2020
Решение:
P=2*(a+b) -где а-длина прямоугольника; b-ширина прямоугольника
S=a*b
26=2a+2b (1)
40=a*b      (2)
Из второго уравнения найдём (а) и подставим её значение в первое уравнение:
а=40/b
26=2*40/b+2b
26=80/b+2b  приведём уравнение к общему знаменателю (b)
b*26=80+b*2b
26b=80+2b^2
2b^2-26b+80=0  сократим каждый член уравнения на 2
b^2-13b+40=0
b1,2=(13+-D)/2*1
D=√(13²-4*1*40)=√(169-160)=√9=3
b1,2=(13+-3)/2
b1=(13+3)/2
b1=8
b2=(13-3)/2
b2=5
подставим значения b1 и b2 в а=40/b
a1=40/8=5
a2=40/5=8
Отсюда следует, что длина прямоугольника 8(см); ширина 5см
4,8(9 оценок)
Это интересно:
Новые ответы от MOGZ: Математика
logo
Вход Регистрация
Что ты хочешь узнать?
Спроси Mozg
Открыть лучший ответ