М
Молодежь
К
Компьютеры-и-электроника
Д
Дом-и-сад
С
Стиль-и-уход-за-собой
П
Праздники-и-традиции
Т
Транспорт
П
Путешествия
С
Семейная-жизнь
Ф
Философия-и-религия
Б
Без категории
М
Мир-работы
Х
Хобби-и-рукоделие
И
Искусство-и-развлечения
В
Взаимоотношения
З
Здоровье
К
Кулинария-и-гостеприимство
Ф
Финансы-и-бизнес
П
Питомцы-и-животные
О
Образование
О
Образование-и-коммуникации
Darhanfan
Darhanfan
16.04.2023 23:30 •  Математика

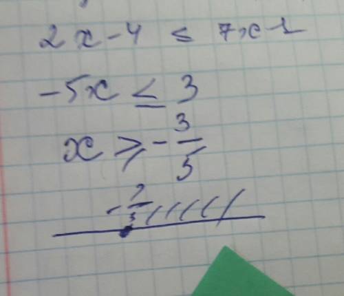
Укажите решение неравенства 2x-4≤7x-1 1) (1; +бесконечность) 2) (-0,6; + бесконечность) 3) (-бесконечность ; 1) 4) (-бесконечность; -0,6)

👇
Ответ:
Wector11211
Wector11211
16.04.2023
ответ 2 на фото посмотри
Укажите решение неравенства 2x-4≤7x-1 1) (1; +бесконечность) 2) (-0,6; + бесконечность) 3) (-бесконе
4,5(7 оценок)
Открыть все ответы
Ответ:
tadzhigul
tadzhigul
16.04.2023

45 км/час

Пошаговое объяснение:

Если скорость 36 км/час , то опоздает на работу на 15 мин . А если скорость 60 км/час , то приедет раньше на 15 мин.

Формула скорости :

V= S/t, где

S - расстояние , а t - необходимое время

Расстояние у нас одинаковое , а вот время разное ( t+15 мин ) - когда опаздывает на 15 мин  и ( t-15 мин), когда приезжает раньше на 15 мин . Можем составить два уравнения :

S/(t+15 мин )= 36 км/час  

S/(t-15 мин) = 60 км/час

15 мин = 15/60=1/4 часа

S : ( t+1/4)= 36 км/час

S : ( t-1/4)=60 км/час

Найдем необходимое время :

S= 36 * (t+1/4)= 36t +9

S= 60*(t-1/4)=60t+ 15

Поскольку расстояние равное , приравняем оба уравнения

36 t+9 = 60 t +15

60t-36t=15+9

24t= 24

t= 1 час , столько потребуется Арлану , чтоб приехать на работу вовремя .

Расстояние , которое проезжает Арлан будет

S= 36t+9=36*1+9= 45 км

S= 45 км

Скорость , которая должна быть у Арлана

V= 45 : 1 = 45 км/час

4,6(17 оценок)
Ответ:
Sofija20
Sofija20
16.04.2023

45 км/час

Пошаговое объяснение:

Если скорость 36 км/час , то опоздает на работу на 15 мин . А если скорость 60 км/час , то приедет раньше на 15 мин.

Формула скорости :

V= S/t, где

S - расстояние , а t - необходимое время

Расстояние у нас одинаковое , а вот время разное ( t+15 мин ) - когда опаздывает на 15 мин  и ( t-15 мин), когда приезжает раньше на 15 мин . Можем составить два уравнения :

S/(t+15 мин )= 36 км/час  

S/(t-15 мин) = 60 км/час

15 мин = 15/60=1/4 часа

S : ( t+1/4)= 36 км/час

S : ( t-1/4)=60 км/час

Найдем необходимое время :

S= 36 * (t+1/4)= 36t +9

S= 60*(t-1/4)=60t+ 15

Поскольку расстояние равное , приравняем оба уравнения

36 t+9 = 60 t +15

60t-36t=15+9

24t= 24

t= 1 час , столько потребуется Арлану , чтоб приехать на работу вовремя .

Расстояние , которое проезжает Арлан будет

S= 36t+9=36*1+9= 45 км

S= 45 км

Скорость , которая должна быть у Арлана

V= 45 : 1 = 45 км/час

4,6(17 оценок)
Новые ответы от MOGZ: Математика
logo
Вход Регистрация
Что ты хочешь узнать?
Спроси Mozg
Открыть лучший ответ