М
Молодежь
К
Компьютеры-и-электроника
Д
Дом-и-сад
С
Стиль-и-уход-за-собой
П
Праздники-и-традиции
Т
Транспорт
П
Путешествия
С
Семейная-жизнь
Ф
Философия-и-религия
Б
Без категории
М
Мир-работы
Х
Хобби-и-рукоделие
И
Искусство-и-развлечения
В
Взаимоотношения
З
Здоровье
К
Кулинария-и-гостеприимство
Ф
Финансы-и-бизнес
П
Питомцы-и-животные
О
Образование
О
Образование-и-коммуникации
bondarenkoadeli
bondarenkoadeli
15.12.2020 15:12 •  Математика

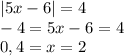
|5х-6|-4=0 розв'яжіть рівняння будь ласка

👇
Ответ:
SophiaSaliuk
SophiaSaliuk
15.12.2020
|5x-6|=4\\-4=5x-6=4\\0,4=x=2
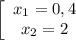
ответ: \left[\begin{array}{ccc}x_1=0,4\\x_2=2\end{array}\right
4,5(79 оценок)
Открыть все ответы
Ответ:
Экологические связиЭкологические связисвязи, взаимоотношения между биогенными и абиогенными факторами, входящими в состав экосистемы или биосферы. Применительно к живым организмам, входящим в состав экосистем, выделяют внутривидовые и межвидовые Э.с., а также связи между населяющими экосистему популяциями и физ. и хим. факторами. Внутривидовые Э.с. напр.авлены на сохранение вида, увеличение его численности и ареала и потому носят в основном симбиотический характер. Межвидовые Э.с. многообразны. Различают симбиоз (см.), комменсализм (см.),конкуренцию (см.), паразитизм (см.) и хищничество, нейтрализм (см.). Физ. и хим. факторы могут быть полезными, вредными и нейтральными для популяции. В свою очередь, микроорганизмы могут трансформировать среду, в к-рой они обитают
4,8(50 оценок)
Ответ:
fragerin
fragerin
15.12.2020
Экологические связиЭкологические связисвязи, взаимоотношения между биогенными и абиогенными факторами, входящими в состав экосистемы или биосферы. Применительно к живым организмам, входящим в состав экосистем, выделяют внутривидовые и межвидовые Э.с., а также связи между населяющими экосистему популяциями и физ. и хим. факторами. Внутривидовые Э.с. напр.авлены на сохранение вида, увеличение его численности и ареала и потому носят в основном симбиотический характер. Межвидовые Э.с. многообразны. Различают симбиоз (см.), комменсализм (см.),конкуренцию (см.), паразитизм (см.) и хищничество, нейтрализм (см.). Физ. и хим. факторы могут быть полезными, вредными и нейтральными для популяции. В свою очередь, микроорганизмы могут трансформировать среду, в к-рой они обитают
4,5(15 оценок)
Это интересно:
Новые ответы от MOGZ: Математика
logo
Вход Регистрация
Что ты хочешь узнать?
Спроси Mozg
Открыть лучший ответ