М
Молодежь
К
Компьютеры-и-электроника
Д
Дом-и-сад
С
Стиль-и-уход-за-собой
П
Праздники-и-традиции
Т
Транспорт
П
Путешествия
С
Семейная-жизнь
Ф
Философия-и-религия
Б
Без категории
М
Мир-работы
Х
Хобби-и-рукоделие
И
Искусство-и-развлечения
В
Взаимоотношения
З
Здоровье
К
Кулинария-и-гостеприимство
Ф
Финансы-и-бизнес
П
Питомцы-и-животные
О
Образование
О
Образование-и-коммуникации
salazarcpt
salazarcpt
25.12.2021 17:32 •  Математика

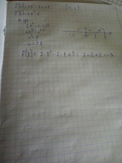
Найдите наибольшее значение функции f(x) =2x^3-6x+1 на промежутке [0; 2]

👇
Ответ:
Faskarvdbdbc
Faskarvdbdbc
25.12.2021
Учись решать сам....
Найдите наибольшее значение функции f(x) =2x^3-6x+1 на промежутке [0; 2]
4,6(53 оценок)
Открыть все ответы
Ответ:
марго1002
марго1002
25.12.2021

1

36:9*8=32 человека в 6 Б

32:100*80=40 учеников в 6 В

2

Точка (x;y) имеет координату x по оси x, и координату y по оси y.

Отметим вс точку R, чтобы провести MR║AB.

R(x₁;y₁), A(-3;1), B(0;-4), M(2;-1)

x₁ = 2-(0+3) = -1

y₁ = -1-(-4-1) = 4

R(-1;4)

Проведём прямую a по двум точкам (M и R).

Отметим вс точку T, чтобы провести MT⊥AB.

R(x₂;y₂), A(-3;1), B(0;-4), M(2;-1)

x₂ = 2+(-4-1) = -3

y₂ = -1-(0+3) = -4

T(-3;-4)

3

Пусть х кг яблок во втором ящике, тогда в первом 4х.

4х-10=х+8

4х-х=8+10

3х=18

х=6, 6 кг яблок было в во втором ящике, тогда в первом 6×4=24 кг

ответ: 6кг ; 24кг

4

8х-3(2х+1)=2х+4

8х-6х-3=2х+4

2х-3=2х+4

2х-2х=4+3

0=7

х принадлежит пустому множеству.

4,6(8 оценок)
Ответ:
jak15
jak15
25.12.2021

Для того, чтобы решить данное задание, нам нужно знать чему равны разные единицы измерения. Мы знаем, что 1 км = 1000 м, 1 м = 10 дм, а также, что 1 т = 10 ц, 1 ц = 100 кг, 1 кг = 1000 г.

1) 4 кг 200 г;

   (4 * 1000 + 200) * 4 = 16800 г, или 16 кг 800 г;

2) 6 ц 23 кг;

   (6 * 100 + 23) * 4 = 2492 кг, или 2 т 4 ц 92 кг;

3) 7 км 300 м;

   (7 * 1000 + 300) * 4 = 29200 м, или 29 км 200 м;

4) 3 м 6 дм;

   (3 *10 + 6) * 4 = 144 дм, или 14 м 4 дм;

5) 8 т 634 кг;

   (8 * 1000 + 634) * 4 = 34536 кг, или 34 т 536 кг;

6) 4 км 250 м;

  (4 * 1000 + 250) * 4 = 17000 м, или 17 км.

Пошаговое объяснение:

4,6(71 оценок)
Это интересно:
Новые ответы от MOGZ: Математика
logo
Вход Регистрация
Что ты хочешь узнать?
Спроси Mozg
Открыть лучший ответ