М
Молодежь
К
Компьютеры-и-электроника
Д
Дом-и-сад
С
Стиль-и-уход-за-собой
П
Праздники-и-традиции
Т
Транспорт
П
Путешествия
С
Семейная-жизнь
Ф
Философия-и-религия
Б
Без категории
М
Мир-работы
Х
Хобби-и-рукоделие
И
Искусство-и-развлечения
В
Взаимоотношения
З
Здоровье
К
Кулинария-и-гостеприимство
Ф
Финансы-и-бизнес
П
Питомцы-и-животные
О
Образование
О
Образование-и-коммуникации
IgnatBakaev
IgnatBakaev
13.03.2023 06:44 •  Математика

Найти корень уравнения (x-5)^2=(x-7)^2

👇
Ответ:
eminimanov198
eminimanov198
13.03.2023
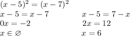
(x-5)^2=(x-7)^2\\x-5=x-7\ \ \ \ \ \ \ \ \ \ \ \ x-5=7-x\\0x=-2\ \ \ \ \ \ \ \ \ \ \ \ \ \ \ \ \ \ \ 2x=12\\x\in\varnothing\ \ \ \ \ \ \ \ \ \ \ \ \ \ \ \ \ \ \ \ \ \ x=6
4,4(6 оценок)
Ответ:
vova25051
vova25051
13.03.2023
(х-5)^2-(x-7)^2=0   (разность квадратов)
(х-5+х-7)(х-5-х+7)=0
(2х-12)*2=0
(2х-12)=0
2(х-6)=0
х-6=0
х=6.
4,6(47 оценок)
Открыть все ответы
Ответ:
ера2009
ера2009
13.03.2023

1) 419; 2) 31440,4

1) (4869484÷1621 + 59058÷18)÷(7560÷504)=419

1) всегда будет в скобках с начало деление потом сложение

4869484÷1621=3004

2) 59058÷18= 3281

3) 3004+3281= 6285

4) потом преступим к другой скобки

7560÷504= 15

5) потом последние действие деление полученного результата с правой и с левой стороны

6285÷15=419

31440 + 1040÷(150 - 2400÷(67 + 53))×20= 31440,4

1) первым действием всегда выполняется в скобках сначала это будет сложение

67 + 53= 120

2) мы будем делить на 2400

2400÷120=20

3) отнимаем от 150

150-20=130

4)130×20=2600

5) 1040÷2600=0,4

6) 31440+0,4= 31440,4

4,5(96 оценок)
Ответ:
leonidbobnev
leonidbobnev
13.03.2023

Решение.

Объем пирамиды найдем по формуле:

V=1/3 Sh

Зная диагональ основания пирамиды, найдем сторону основания.

d2 = a2 + a2

42 = 2a2

16 = 2a2

a= √8 = 2√2

Соответственно, площадь основания

S = 8 см2 .

Проведем через вершину правильной четырехугольной пирамиды вертикальное сечение. Поскольку боковые грани пирамиды наклонены к основанию под углом 60 градусов, то сечение образует равносторонний треугольник.

Основание равностороннего треугольника равно 2√2. Откуда высота будет равна

h = √3/2 a

h = √3/2 * 2√2 = √6

Откуда объем правильной пирамиды с четырехугольником в основании равен

V=1/3 Sh

V = 1/3 * 8 * √6 = 8√6 / 3

ответ:  8√6 / 3 см3.

4,6(7 оценок)
Это интересно:
Новые ответы от MOGZ: Математика
logo
Вход Регистрация
Что ты хочешь узнать?
Спроси Mozg
Открыть лучший ответ