М
Молодежь
К
Компьютеры-и-электроника
Д
Дом-и-сад
С
Стиль-и-уход-за-собой
П
Праздники-и-традиции
Т
Транспорт
П
Путешествия
С
Семейная-жизнь
Ф
Философия-и-религия
Б
Без категории
М
Мир-работы
Х
Хобби-и-рукоделие
И
Искусство-и-развлечения
В
Взаимоотношения
З
Здоровье
К
Кулинария-и-гостеприимство
Ф
Финансы-и-бизнес
П
Питомцы-и-животные
О
Образование
О
Образование-и-коммуникации
2508sanya
2508sanya
26.03.2022 04:21 •  Математика

Решите методом выделения полного квадрата с объяснением пож ! 1) х^2 + 1,2 - 0,13 = 0 2) 0,4 х^2 + 0,7 = 0,3х - 0,2 3) х^2 + 1 целая 1 третья х = 2х + 1 целая семь девятых

👇
Ответ:
akopovaliza2003
akopovaliza2003
26.03.2022
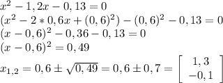
x^2-1,2x-0,13=0 \\ (x^2-2*0,6x+(0,6)^2)-(0,6)^2-0,13=0 \\ (x-0,6)^2-0,36-0,13=0 \\ (x-0,6)^2=0,49 \\x_{1,2}=0,6б \sqrt{0,49} =0,6б0,7= \left[\begin{array}{c}1,3&-0,1\end{array}\right]

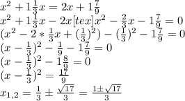
0,4x^2+0,7=0,3x-0,2 \\ 0,4x^2+0,7-0,3x+0,2=0 \\ 0,4x^2-0,3x+0,9=0|*10 \\ 4x^2-3x+9=0 \\ ((2x)^2-2*2* \frac{3}{4} x+ (\frac{3}{4})^2)-(\frac{3}{4})^2+9=0 \\ (2x- \frac{3}{4} )^2- \frac{9}{16} +9=0 \\ (2x- \frac{3}{4} )^2+ \frac{153}{16} =0 
нет решений

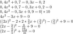
x^2+1 \frac{1}{3} x=2x+1 \frac{7}{9} \\ x^2+1 \frac{1}{3} x-2x[tex]x^2- \frac{2}{3} x-1 \frac{7}{9}=0 \\ (x^2- 2*\frac{1}{3}x+( \frac{1}{3} )^2)-( \frac{1}{3} )^2-1 \frac{7}{9} =0 \\ (x- \frac{1}{3} )^2- \frac{1}{9} -1 \frac{7}{9} =0 \\ (x- \frac{1}{3} )^2-1 \frac{8}{9} =0 \\ (x- \frac{1}{3} )^2= \frac{17}{9} \\ x_{1,2}= \frac{1}{3} б \frac{ \sqrt{17} }{3} = \frac{1б \sqrt{17} }{3}
4,6(84 оценок)
Открыть все ответы
Ответ:
sergey1234567890f
sergey1234567890f
26.03.2022

ответ: 35°

Пошаговое объяснение:

  Сделаем рисунок согласно условию.

В ∆ АDС две стороны равны (дано), ∠ ADC=60°=> ∆ ADC – равнобедренный и равносторонний ( т.к. углы при основании АС равны (180°-60°):2= 60°) , ⇒ АС=АD=АВ. Поэтому ∆ АВС - равнобедренный, углы при основании ВС равны:  ∠АВС=∠ВСА=65°.

    Из суммы углов треугольника ∠ВАС=180°-2•65°=50°.

В ∆ BAD ∠ВАD=∠BAC+∠CAD=50°+60°=110° . Так как  ∆ ВАD – равнобедренный ( АВ=АD), углы при основании ВD равны. Из суммы углов треугольника ∠АВD=(180°-110°):2=35°


B. выпуклом четырёхугольнике ABCD известно, что 2ADC = 60° и AB = AD = DC. Найдите ZABD, если ZBC A
4,5(12 оценок)
Ответ:
Sasha1230981
Sasha1230981
26.03.2022

выгоднее санаторий "Зеленый Бор"

Пошаговое объяснение:

1) считаем стоимость путевок в "Зеленый Бор"

Детская путевка  ( 100-15%)= 85 % от взрослой :

10500-100=х-85 х=8925 тг- стоимость детской путевки.

Считаем сумму всех путевок: 10500+10500+8925+8925=38850 тг

2) считаем стоимость путевок в "Сосновый Бор"

Детская путевка(100-20=80% от стоимости взрослой путевки)

будет стоить 11400-100=х-80 х= 9120 тг

Считаем стоимость всех путевок: 11400+11400+9120+9120= 41040 тг

3) Считаем стоимость путевок  в "Боровое":

Детская путевка( 100-30=70% от стоимости взрослой путевки)

будет стоить: 12000-100=х-70 х= 8400тг

Считаем общую стоимость всех путевок 12000+12000+8400+8400=40800тг

Дешевле всего путевки в "Зеленый бор"

4,8(89 оценок)
Это интересно:
Новые ответы от MOGZ: Математика
logo
Вход Регистрация
Что ты хочешь узнать?
Спроси Mozg
Открыть лучший ответ