М
Молодежь
К
Компьютеры-и-электроника
Д
Дом-и-сад
С
Стиль-и-уход-за-собой
П
Праздники-и-традиции
Т
Транспорт
П
Путешествия
С
Семейная-жизнь
Ф
Философия-и-религия
Б
Без категории
М
Мир-работы
Х
Хобби-и-рукоделие
И
Искусство-и-развлечения
В
Взаимоотношения
З
Здоровье
К
Кулинария-и-гостеприимство
Ф
Финансы-и-бизнес
П
Питомцы-и-животные
О
Образование
О
Образование-и-коммуникации
amalia110
amalia110
11.03.2020 12:53 •  Математика

Найти суму бесконечной прогрессии (b_3)если b_2=0,8 b_4=o,16

👇
Ответ:
Сонька766
Сонька766
11.03.2020
B2=0,8=b1*q
b4=0,16=b1*q³
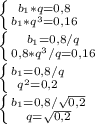
\left \{ {{b_1*q=0,8} \atop {b_1*q^3=0,16}} \right.\\ \left \{ {{b_1=0,8/{q}} \atop {0,8*q^3/}q=0,16} \right.\\ \left \{ {{b_1=0,8/q} \atop {q^2=0,2}} \right.\\ \left \{ {{b_1=0,8/\sqrt{0,2}} \atop {q=\sqrt{0,2}}} \right.
S=b1/1-q=(0,8/√0,2)/(1-√0,2)=0,8/(√0,2-0,2)
4,4(2 оценок)
Открыть все ответы
Ответ:
koteika282
koteika282
11.03.2020
   Анализируя задание, становится ясно, что в десятичной записи его невозможно выполнить. Далее мыслим нестандартно :-)
   Какие ещё есть системы записи чисел?
Двоичная: "0"- это ноль; "1"- это один; "10"- это два; "11"- это три... не то;
Шестнадцатиричная: "0"- это ноль; "1"- это один; "2"- это два; "3"- это три;... "9"- это девять; "А"- это десять; "В" - одиннадцать; "С" - двенадцать... - вот оно!
   Итак, берём нижнюю горизонтальную спичку из "8" и переставляем на "минус", чтобы получился "+" - получаем
6 + 4 = А, что в переводе с шестнадцатиричной системы в десятиричную означает 6 + 4 = 10 
Эврика!
4,5(4 оценок)
Ответ:
chelikteliklol
chelikteliklol
11.03.2020
   Анализируя задание, становится ясно, что в десятичной записи его невозможно выполнить. Далее мыслим нестандартно :-)
   Какие ещё есть системы записи чисел?
Двоичная: "0"- это ноль; "1"- это один; "10"- это два; "11"- это три... не то;
Шестнадцатиричная: "0"- это ноль; "1"- это один; "2"- это два; "3"- это три;... "9"- это девять; "А"- это десять; "В" - одиннадцать; "С" - двенадцать... - вот оно!
   Итак, берём нижнюю горизонтальную спичку из "8" и переставляем на "минус", чтобы получился "+" - получаем
6 + 4 = А, что в переводе с шестнадцатиричной системы в десятиричную означает 6 + 4 = 10 
Эврика!
4,7(81 оценок)
Это интересно:
Новые ответы от MOGZ: Математика
logo
Вход Регистрация
Что ты хочешь узнать?
Спроси Mozg
Открыть лучший ответ