М
Молодежь
К
Компьютеры-и-электроника
Д
Дом-и-сад
С
Стиль-и-уход-за-собой
П
Праздники-и-традиции
Т
Транспорт
П
Путешествия
С
Семейная-жизнь
Ф
Философия-и-религия
Б
Без категории
М
Мир-работы
Х
Хобби-и-рукоделие
И
Искусство-и-развлечения
В
Взаимоотношения
З
Здоровье
К
Кулинария-и-гостеприимство
Ф
Финансы-и-бизнес
П
Питомцы-и-животные
О
Образование
О
Образование-и-коммуникации
лнпасми
лнпасми
16.01.2021 20:15 •  Математика

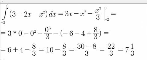
Вычислить площадь фигуры, ограниченной линиями у=3-2х-х^2, у=0, х=0, х=-2

👇
Ответ:
kimmatveev
kimmatveev
16.01.2021
См фото + решение
============================
Вычислить площадь фигуры, ограниченной линиями у=3-2х-х^2, у=0, х=0, х=-2
Вычислить площадь фигуры, ограниченной линиями у=3-2х-х^2, у=0, х=0, х=-2
4,5(23 оценок)
Открыть все ответы
Ответ:

Условие задачи

Пачка печенья-3,35 кг-28 пачек

Пачка вафель-0,25 кг-36 пачек

Пачка кукурузных палочек- 0,8 кг- 15 пачек

28 пачек печенья умножаем на одну пачку печенья :

28×3,35=93,8(кг)-масса всех пачек печенья

36 пачек вафель умножаем на одну пачку вафель:

36×0,25=9 (кг)-масса всех пачек вафель

15 пачек кукурузных палочек умножаем на одну пачку кукурузных палочек:

15×0,8=12(кг)-масса всех пачек кукурузных палочек

Складываем массу всех пачек печенья,вафель и кукурузных палочек:

93,8+9+12=114,8(кг)-масса всей покупки для детского сада

ответ: масса всей покупки для детского сада 114,8 килограмм.

Пошаговое объяснение:

Если лайк и отметь как лучший! ♡♡♡

4,7(27 оценок)
Ответ:
bekbolata45
bekbolata45
16.01.2021

                                  Цена            Количество         Стоимость

Жёлтая ткань     одинаковая              3 м                        ?

Зелёная ткань    одинаковая              5 м               ? на 1200 тг >

- - - - - - - - - - - - - - - - - - - - - - - - - - - - - - - - - - - - - - - - - - - - - - - - - - - -

1) 5 - 3 = 2 м - на столько больше зелёной ткани;

2) 1200 : 2 = 600 тг - цена за 1 метр (одинаковая);

3) 600 · 3 = 1800 гт - заплатили на жёлтую ткань;

4) 600 · 5 = 3000 тг - заплатили за зелёную ткань.

ответ: 1800 тенге и 3000 тенге.

4,4(56 оценок)
Это интересно:
Новые ответы от MOGZ: Математика
logo
Вход Регистрация
Что ты хочешь узнать?
Спроси Mozg
Открыть лучший ответ