М
Молодежь
К
Компьютеры-и-электроника
Д
Дом-и-сад
С
Стиль-и-уход-за-собой
П
Праздники-и-традиции
Т
Транспорт
П
Путешествия
С
Семейная-жизнь
Ф
Философия-и-религия
Б
Без категории
М
Мир-работы
Х
Хобби-и-рукоделие
И
Искусство-и-развлечения
В
Взаимоотношения
З
Здоровье
К
Кулинария-и-гостеприимство
Ф
Финансы-и-бизнес
П
Питомцы-и-животные
О
Образование
О
Образование-и-коммуникации
KOnyaHA
KOnyaHA
09.12.2020 16:52 •  Математика

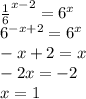
Найдите корень уравнения (1/6)^(x-2)=6^x

👇
Ответ:
имилька
имилька
09.12.2020
\frac{1}{6}^{x-2}=6^{x}\\6^{-x+2}=6^{x}\\-x+2=x\\-2x=-2\\x=1
4,5(58 оценок)
Открыть все ответы
Ответ:
jlenabalkinaoyqk93
jlenabalkinaoyqk93
09.12.2020
Добиться увеличения скорости движений и каком-либо упражнении можно двумя различными путями:

1. Увеличением уровня максимальной (или предельной) скорости движений.
2. Увеличением максимальной силы работающих мышц.

Существенно повысить максимальную скорость движений чрезвычайно сложно, поэтому в практике для увеличения скорости чаще используют второй путь - увеличения силы. Скоростно-силовые упражнения необходимо применять в сочетании с собственно силовыми, то есть, при развитии скорости движений надо как бы «опираться» на уровень максимальной силы.

Вместе с.тем, сама проблема силовой подготовки для улучшения скорости движений возникает лишь в том случае, если для реализации этих движений необходимы мышечные усилия, превышающие уровень 15% от максимальных силовых возможностей человека. Методы и средства скоростно-силовой подготовки описаны в главах 3 и 5.

При решении задач изучения и совершенствования техники скоростных движений, необходимо учитывать и возникающие при их выполнении трудности сенсорной коррекции. Для этого рекомендуется соблюдать два основных правила:

1. Проводить изучение упражнения на скорости, близкой к максимальной (как говорят, и 9/10 СИЛЫ) ДЛЯ ТОГО, чтобы биодинамическая структура движений, по возможности, не отличалась при их выполнении с предельной быстротой, и чтобы был возможен контроль над техникой движений. Такие скорости называются контролируемыми.

2. Варьировать скоростью выполнения упражнения от предельной до субмаксимальной.

Важным условием повышения эффективности и экономичности циклических скоростных движений выступает возможность использования энергии рекуперации эластических структур мышц накапливания энергии упругой деформации мышц в подготовительных фазах и использования этой энергии в рабочих фазах движений. Вклад такой «неметаболической» энергии в общий объем энерготрат увеличивается с повышением скорости движений, и наибольшее значение имеет в циклических движениях, например, в спринтерском беге. Для реализации использования энергии рекуперации в скоростных движениях необходимо уделять повышенное внимание развитию гибкости и улучшению эластичности мышц.

В учебно-тренировочных занятиях надо развивать все возможные формы проявления быстроты, необходимые для успешной профессионально-прикладной подготовки. Следует лишь всегда помнить, что работу над развитием быстроты и совершенствованием скоростных не рекомендуется проводить в состоянии физического, эмоционального или сенсорного утомления.

Обычно скоростные тренировки сочетаются с работой технической или скоростно-силовой направленности, а в некоторых случаях и с развитием отдельных компонентов скоростной выносливости.
4,7(92 оценок)
Ответ:
Гольник
Гольник
09.12.2020
Әти, песи алыйк әле! Һәммәбез карар иде. Әгәр дә песи булмаса, Мәче дә ярар иде. Роберт Мщнуллин. Кечкенәдән үк хыялым песи алу иде. Ниһаять, ул хыялым тормышка ашты. Кыш башында без песи баласы алып кайттык. Мин дә, апам да бик шатландык. Песигә Йомшаккай дип исем куштык. Песиебез − ап-ак, матур йонлы, озын койрыклы, зәңгәр күзле. Ул шундый матур, минем аны гел кулымда гына йөртәсем килеп тора иде. Без песине беренче көннән үк бик яхшы итеп тәрбияли башладык. Кибеткә барып, песиләр өчен кирәкле бөтен әйберләрне алып кайттык, үзе теләгән җирдә урын әзерләдек. Тик ул, күп тә үтмәде, авырып китте. Әти Йомшаккайны биш көн рәттән хайваннар табибына, уколлар ясарга алып йөрде. Әти белән мин дә йөрдем. Шуннан соң песиебезнең авырганы юк. Ул авырганда, миңа да бик авыр булды. Ул инде хәзер үсеп килә, тиздән бер яшь була. Хәзер Йомшаккай бик тә уйнарга ярата. Иртән, беренче булып, ул әтиебезне эшкә озатып кала. Аннан соң шаярып безне уята башлый. Без мәктәпкә киткәнче, ул гел "мыр-мыр" килеп аяк астында бөтерелә. Утырсам, тезләремә менеп утыра. Уйный башлагач, кайбер вакытларда онытылып китеп, тешләп яки тырнап та ала. Мәктәптән мин аны бик сагынып кайтам. Аңа ашарга, эчәргә бирәм. Йомшаккай балыкны бигрәк тә яратып ашый. Балык яки балык консервасы белән берәр нәрсә бирсәң, ул мыраулый-мыраулый, бик тәмләп ашый. Йомшаккай безнең бик шаян, бик уйнарга яратучан песи булды. Ул, ашаганнан соң, бераз ял итеп ала да, уйнарга тотына. Сәгатьләр буе, бертуктаусыз уйнарга мөмкин ул. Кайбер вакытта аның белән уйный-уйный мин дә арып бетәм. Мин Йомшаккаемны бик яратам. Матур песи булганы өчен дә яратам. Акыллы песи булганы өчен дә яратам. Мине яратканы өчен дә яратам. Мин аны ямьсез, усал песи булса да яратыр идем, мөгаен. Чөнки без аның белән бик дус. Ә дустыңны, әлбәттә иңде, яратасың бит
4,8(66 оценок)
Это интересно:
Новые ответы от MOGZ: Математика
logo
Вход Регистрация
Что ты хочешь узнать?
Спроси Mozg
Открыть лучший ответ