М
Молодежь
К
Компьютеры-и-электроника
Д
Дом-и-сад
С
Стиль-и-уход-за-собой
П
Праздники-и-традиции
Т
Транспорт
П
Путешествия
С
Семейная-жизнь
Ф
Философия-и-религия
Б
Без категории
М
Мир-работы
Х
Хобби-и-рукоделие
И
Искусство-и-развлечения
В
Взаимоотношения
З
Здоровье
К
Кулинария-и-гостеприимство
Ф
Финансы-и-бизнес
П
Питомцы-и-животные
О
Образование
О
Образование-и-коммуникации
лисёнок333
лисёнок333
21.10.2022 00:17 •  Математика

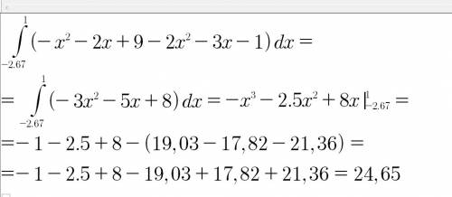
Вычислить площадь, ограниченную заданными параболами

👇
Ответ:
Рисунок + решение
==================================
Вычислить площадь, ограниченную заданными параболами
Вычислить площадь, ограниченную заданными параболами
4,7(17 оценок)
Открыть все ответы
Ответ:

Пошаговое объяснение:

Сторони паралелограма дорівнюють 4.4 см і 5.6 см. Висота проведена до більшої сторони, дорівнює 3,3 см. Обчисліть другу висоту цього паралелограма. Дуже Дякую.

Нехай сторона а = 5.8 см, b = 4.4 см, h_a = 3 см. Знайти h_b.

Знайдемо площу паралелограма:

S = a\cdot h_a\\S = 5.8\cdot 3 = 17.4 \:\: (cm^2)

Використавши формулу ще раз, знайдемо другу висоту:

S = b\cdot h_b \:\Rightarrow \:h_b = \frac{S}{b} \\h_b = \frac{17.4}{4.4} = 3.9 \:\: (cm)

Відповідь: Друга висота паралелограма рівна 3.9 см.

4,5(40 оценок)
Ответ:
kachakomba
kachakomba
21.10.2022
Техника безопасности на занятиях по лыжной подготовке 
1. Общие требования безопасности 
1.1. К занятиям по лыжам допускаются дети дошкольного возраста и учащиеся с 1-го класса инструктаж по охране труда, медицинский осмотр и не имеющие противопоказаний по состоянию здоровья. 
1.2. При проведении занятий по лыжам соблюдать правила поведения, расписание учебных занятий, установленные режимы занятий и отдыха. 
1.3. При проведении занятий по лыжам возможно воздействие на обучающихся следующих опасных факторов: 
- обморожение при проведении занятий при ветре более 1,5-2,0 м/с и при температуре воздуха ниже -20° С; 
- травмы при ненадежном креплении лыж к обуви; 
- потертости ног при неправильной подгонке лыжных ботинок; 
- травмы при падении во время спуска с горы или при прыжках с лыжного трамплина. 
1.4. При проведении занятий по лыжам должна быть медаптечка с набором необходимых медикаментов и перевязочных средств для оказания первой при травмах. 
1.5. О несчастном случае пострадавший или очевидец несчастного случая обязан немедленно сообщить учителю (преподавателю, воспитателю) , который информирует об этом администрацию учреждения. При неисправности лыжного инвентаря прекратить занятия и сообщить об этом учителю (преподавателю, воспитателю) . 
1.6. В процессе занятий обучающиеся должны соблюдать установленный порядок проведения учебных занятий и правила личной гигиены. 
1.7. Обучающиеся, допустившие невыполнение или нарушение инструкции по охране труда, привлекаются к ответственности, со всеми обучающимися проводится внеплановый инструктаж по охране труда. 

2. Требования безопасности перед началом занятий 
2.1. Надеть легкую, теплую, не стесняющую движений одежду, шерстяные носки и перчатки или варежки. При температуре воздуха ниже - 10оС надеть плавки. 
2.2. Проверить исправность лыжного инвентаря и подогнать крепление лыж к обуви. Лыжные ботинки должны быть подобраны по размеру ноги. 
2.3. Проверить подготовленность лыжни или трассы, отсутствие в месте проведения занятий опасностей, которые могут привести к травме. 

3. Требования безопасности во время занятий 
3.1. Соблюдать интервал при движении на лыжах по дистанции 3-4 м, при спусках с горы- не менее 30м 
3.2. При спуске с горы не выставлять вперед лыжные палки. 
3.3. После спуска с горы не останавливаться у подножия горы во избежание столкновений с другими лыжниками. 
3.4. Следить друг за другом и немедленно сообщить учителю (преподавателю, воспитателю) о первых же признаках обморожения. 
3.5. Во избежание потертостей ног не ходить на лыжах в тесной или слишком свободной обуви. 

4. Требования безопасности в аварийных ситуациях 
4.1. При поломке или порче лыжного снаряжения и невозможности починить его в пути, сообщить об этом учителю (преподавателю, воспитателю) и с его разрешения двигаться к месту расположения учреждения. 
4.2. При первых признаках обморожения, а также при плохом самочувствии сообщить об этом учителю (преподавателю, воспитателю) . 
4.3. При получении травмы немедленно оказать первую пострадавшему, при необходимости отправить его в ближайшее лечебное учреждение и сообщить об этом администрации учреждения. 

5. Требования безопасности по окончании занятий 
5.1. Проверить по списку наличие всех обучающихся. 
5.2. Убрать в отведенное место для хранения спортивный инвентарь. 
5.3. Принять душ или тщательно вымыть лицо и руки с мылом. 
ответ:б
4,6(85 оценок)
Новые ответы от MOGZ: Математика
logo
Вход Регистрация
Что ты хочешь узнать?
Спроси Mozg
Открыть лучший ответ