М
Молодежь
К
Компьютеры-и-электроника
Д
Дом-и-сад
С
Стиль-и-уход-за-собой
П
Праздники-и-традиции
Т
Транспорт
П
Путешествия
С
Семейная-жизнь
Ф
Философия-и-религия
Б
Без категории
М
Мир-работы
Х
Хобби-и-рукоделие
И
Искусство-и-развлечения
В
Взаимоотношения
З
Здоровье
К
Кулинария-и-гостеприимство
Ф
Финансы-и-бизнес
П
Питомцы-и-животные
О
Образование
О
Образование-и-коммуникации
djkls
djkls
30.04.2023 00:13 •  Математика

Решите уравнение с подробным решением (x-5)*(2x+0.4)=0

👇
Ответ:
bestsoule
bestsoule
30.04.2023
X - 5 = 0 или 2x +0,4=0
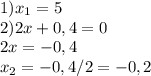
1) x_{1} = 5 \\ 
2) 2x + 0,4 = 0 \\ 2x=-0,4 \\ x_{2}= -0,4/2 = -0,2
ответ: 5; -0,2.
4,7(61 оценок)
Открыть все ответы
Ответ:
rudneva04
rudneva04
30.04.2023
а) В двух коробках 27 карандашей, причём в одной из них на 5 карандашей больше, чем в другой. Сколько карандашей в каждой коробке?
1) 27 - 5 =22 (карандаша) - лежало бы в двух коробках, если бы их было поровну.
2) 22:2=11 (карандашей) - в одной коробке.
3) 11+5=16 (карандашей) - во второй коробке.
ответ: в двух коробках было 11 и 16 карандашей.

б) Туристы за 2 дня 48 км, причём в первый день на 10 км меньше, чем во второй. Сколько километров туристы в первый день?
1) 48-10=38 (км бы туристы, если бы расстояние в первый и второй день было одинаковым.
2) 38:2=19 (км туристы в первый день.
3) 19+10=29 (км туристы во второй день.
ответ: первый день - 19 км; второй день - 29 км.
4,7(69 оценок)
Ответ:
Покрасьон
Покрасьон
30.04.2023

 Члены общества имеют право:

1) участвовать в управлении обществом и быть избранными в его органы;

2) страховать свои имущественные интересы на взаимной основе в соответствии с договором страхования и (или) правилами страхования;

3) получать от органов управления и органа контроля общества любую информацию о деятельности общества, в том числе о результатах проверок его финансовой деятельности;

4) выходить из общества;

5) получать в случае ликвидации общества часть его имущества, оставшегося после расчетов с кредиторами, если иное не предусмотрено законодательством Российской Федерации или уставом общества.

4,7(53 оценок)
Это интересно:
Новые ответы от MOGZ: Математика
logo
Вход Регистрация
Что ты хочешь узнать?
Спроси Mozg
Открыть лучший ответ