М
Молодежь
К
Компьютеры-и-электроника
Д
Дом-и-сад
С
Стиль-и-уход-за-собой
П
Праздники-и-традиции
Т
Транспорт
П
Путешествия
С
Семейная-жизнь
Ф
Философия-и-религия
Б
Без категории
М
Мир-работы
Х
Хобби-и-рукоделие
И
Искусство-и-развлечения
В
Взаимоотношения
З
Здоровье
К
Кулинария-и-гостеприимство
Ф
Финансы-и-бизнес
П
Питомцы-и-животные
О
Образование
О
Образование-и-коммуникации
malina20023
malina20023
30.08.2022 10:07 •  Математика

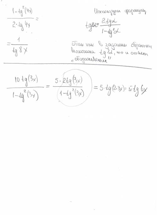
Решите : 1) 1-(tg^2(4x)/2*tg(4x)) 2) 10tg(3x)/(1-tg^2(3x))

👇
Ответ:
mlphappyme
mlphappyme
30.08.2022
Решение прилагаю с пояснением
Решите : 1) 1-(tg^2(4x)/2*tg(4x)) 2) 10tg(3x)/(1-tg^2(3x))
4,8(42 оценок)
Открыть все ответы
Ответ:
K1rysha
K1rysha
30.08.2022

1)378+459=459+378

   8*9=9*8

   (2*3)*3=2*(3*3)

2)переместительный (коммутативный) закон сложения - от перемены мест (от перестановки) слагаемых сумма не изменяется (а+в=в+а)

   переместительный (коммутативный) закон умножения - от перестановки мест сомножителей произведение не меняется (а*в=в*а)

   сочетательный (ассоциативный) закон умножения - от группировки сомножителей произведение не меняется (   а*(в*с)=(а*в)*с   )
3)15+76=76+15 (91=91)

   134+928=928+134 (1062=1062)

   5*3=3*5 (15=15)

   6*9=9*6 (54=54)

   (4*7)*8=4*(7*8) (224=224)

   3*(5*9)=(3*5)*9 (135+135)

равенства верны!

4,7(25 оценок)
Ответ:
ojitovtitan
ojitovtitan
30.08.2022

1)378+459=459+378

   8*9=9*8

   (2*3)*3=2*(3*3)

2)переместительный (коммутативный) закон сложения - от перемены мест (от перестановки) слагаемых сумма не изменяется (а+в=в+а)

   переместительный (коммутативный) закон умножения - от перестановки мест сомножителей произведение не меняется (а*в=в*а)

   сочетательный (ассоциативный) закон умножения - от группировки сомножителей произведение не меняется (   а*(в*с)=(а*в)*с   )
3)15+76=76+15 (91=91)

   134+928=928+134 (1062=1062)

   5*3=3*5 (15=15)

   6*9=9*6 (54=54)

   (4*7)*8=4*(7*8) (224=224)

   3*(5*9)=(3*5)*9 (135+135)

равенства верны!

4,6(20 оценок)
Это интересно:
Новые ответы от MOGZ: Математика
logo
Вход Регистрация
Что ты хочешь узнать?
Спроси Mozg
Открыть лучший ответ