М
Молодежь
К
Компьютеры-и-электроника
Д
Дом-и-сад
С
Стиль-и-уход-за-собой
П
Праздники-и-традиции
Т
Транспорт
П
Путешествия
С
Семейная-жизнь
Ф
Философия-и-религия
Б
Без категории
М
Мир-работы
Х
Хобби-и-рукоделие
И
Искусство-и-развлечения
В
Взаимоотношения
З
Здоровье
К
Кулинария-и-гостеприимство
Ф
Финансы-и-бизнес
П
Питомцы-и-животные
О
Образование
О
Образование-и-коммуникации
tkalichzhenya
tkalichzhenya
19.05.2023 02:27 •  Математика

Составить уравнение нормали к поверхности параллельной прямой

👇
Ответ:
tigr951
tigr951
19.05.2023
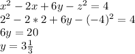
a=n
n =   grad F(x₀, y₀, z₀) = F'x(x₀, y₀, z₀) i + F'y(x₀, y₀, z₀) j + F'z(x₀, y₀, z₀)k 
grad F=(2x-2)i+6j+(-2z)k
a={2x-2;6;-2z}
a=ma₁=(1;3;4)
\frac{2x-2}{1} = \frac{6}{3} = \frac{-2z}{4} \\
 \frac{2x-2}{1} = 2 \\ 2x-2=2\\
2x=4\\
x=2\\
-\frac{2z}{4}=2\\
-2z=8\\
z=-4
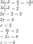
x^2-2x+6y-z^2=4\\
2^2-2*2+6y-(-4)^2=4\\
6y=20\\
y=3 \frac{1}{3}
l_n: \ \frac{x-2}{1} = \frac{y-3 \frac{1}{3} }{3} = \frac{z+4}{4}
4,6(97 оценок)
Открыть все ответы
Ответ:
efimovap17
efimovap17
19.05.2023
Решение задачи с использованием "х":
Пусть во вторые сутки выплавили х т стали, тогда в первый сутки выплавили - х * 2 или 2х  т стали. У нас получается уравнение:
2х + х = 8.430
3х = 8.430
х = 8.430 : 3
х = 2.810 (т) - столько стали выплавили во второй день.
2х = 2.810 * 2
2х = 5.620 (т) - столько стали выплавили в первый день.
проверка:
2 * 2.810 + 2.810 = 8.430
5.620 + 2.810 = 8.430
8.430 = 8.430

Решение задачи без использования "х":
Пусть во вторые сутки выплавили 1 часть т стали, тогда в первый сутки выплавили - 1*2 или 2 части стали  т стали. У нас получается:
2 части + 1 часть = 8.430, т.е. 3 части = 8.430
1) 8.430 : 3 = 2.810 (т) - столько тонн приходится на одну часть и столько стали выплавили во второй день.
2)
1 вариант: 2.810 * 2 = 5.620 (т) - столько тонн приходится на две части и столько стали выплавили в первый день.
2 вариант: 8.430 - 2.810 = 5.620 (т).

ответ: 5.620 тонн выплавили в первый день, 2.810 тонн выплавили во второй день.
4,5(13 оценок)
Ответ:
danikvorona
danikvorona
19.05.2023
Одна швея - 6 пуговиц за 24 минуты
Три швеи пришьют 6 пуговиц за ? минут
Чтобы узнать, за сколько минут пришьет одна швея одну пуговицу:
24:6=4 (4 минуты - 1 пуговица)
Решение:
Чтобы пришить 6 пуговиц на трех швеях нужно:
На каждой швеи пришить 2 пуговицы.
Так как:
2*3 =6
2 - количество пуговиц на одну швею
3 - количество швей.
Мы знаем,за сколько минут швея пришьет 1 пуговицу, за 4 минуты.
Чтобы пришить 6 пуговиц, нужно пришить по 2 пуговиц на каждой швее.
2x4=8
2 - количество пуговиц на каждой шве
4 - время,за которое швея пришьет 1 пуговицу.
ответ: Три швеи пришьют 6 пуговиц за 8 минут.
4,7(55 оценок)
Это интересно:
Новые ответы от MOGZ: Математика
logo
Вход Регистрация
Что ты хочешь узнать?
Спроси Mozg
Открыть лучший ответ