М
Молодежь
К
Компьютеры-и-электроника
Д
Дом-и-сад
С
Стиль-и-уход-за-собой
П
Праздники-и-традиции
Т
Транспорт
П
Путешествия
С
Семейная-жизнь
Ф
Философия-и-религия
Б
Без категории
М
Мир-работы
Х
Хобби-и-рукоделие
И
Искусство-и-развлечения
В
Взаимоотношения
З
Здоровье
К
Кулинария-и-гостеприимство
Ф
Финансы-и-бизнес
П
Питомцы-и-животные
О
Образование
О
Образование-и-коммуникации

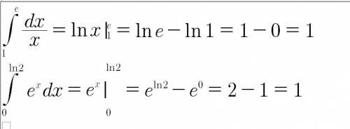
Интеграл. вычислите 1)∫(верху e внизу 1)1/x dx 2)∫(верху ln2 внизу 0) e^x dx

👇
Ответ:
AlexMason03
AlexMason03
26.10.2022
См фото
========================
Интеграл. вычислите 1)∫(верху e внизу 1)1/x dx 2)∫(верху ln2 внизу 0) e^x dx
4,8(71 оценок)
Открыть все ответы
Ответ:
nubjoper
nubjoper
26.10.2022

Пошаговое объяснение:

пусть третье число х, тогда второе число х + 17, а первое (х+17)/2

по условию:

х + х+17 + (х+17)/2 = 238

4х + 34 + х + 17 = 476

5х = 476 - 51

5х = 425

х = 85

ответ: 85

2. 1) √49 = 7 (см) - сторона квадрата

2) 7 - 2 = 5 (см) - ширина

3) 2(7+5) = 24 (см) - периметр

ответ: 24

3.

5 * 19 = 95, значит, число делится на 95 (т.к. 5 и 19 взаимно простые)

1000 : 95 = 10 (ост. 50)

95 * 11 = 1045 - наименьшее четырехзначное число, которое делится на 5 и на 19

ответ: 1045

4.

1/7 * М = 1/9 * Ф

9/7 М = Ф

Ф > M

ответ: философ

5. ((6t-72):2-84)*28=6000-372

((6t-72):2-84)*28 = 5628

(6t-72):2-84 = 5628 : 28

(6t-72):2 = 201 + 84

(6t-72):2 = 285

6t-72 = 285 * 2

6t - 72 = 570

6t = 570 + 72

6t = 642

t = 642 : 6

t = 107

ответ: 107

4,6(55 оценок)
Ответ:
estvolygina
estvolygina
26.10.2022
Запишем искомое число как abcd. Первоначальные условия: число кратно 15, значит оно кратно 3 и 5, то есть a+b+c+d кратно 3;  d=0 или d=5. 40<a*b*c*d<50. Заметим, что d≠0, иначе произведение цифр будет равно 0. Значит d=5. Искомое число выглядит abc5, тогда 40<a*b*c*5<50 разделим неравенство почленно на 5: 40:5<a*b*c*5:5<50:5 ⇒ 8<a*b*c<10. Значит, произведение первых трёх цифр числа больше 8, но меньше 10. Так как a, b, c - целые однозначные числа, то их произведение - целое число. Значит, произведение первых трёх цифр равно 9. Делители 9: 1, 3, 9. Получим, первые три цифры - комбинация из 1, 1, 9 или комбинация из 1, 3, 3. Но 1+1+9+5=16 не кратно 3, а 1+3+3+5=12 кратно 3. Значит, первые три цифры: 1, 3, 3. По условию нужно найти наименьшее число, значит первые три цифры так и идут в таком порядке: 133. Тогда искомое число: 1335.
ответ: 1335.
4,6(4 оценок)
Это интересно:
Новые ответы от MOGZ: Математика
logo
Вход Регистрация
Что ты хочешь узнать?
Спроси Mozg
Открыть лучший ответ